< Engineering Acoustics

Room Acoustics and Concert Halls

Introduction

From performing on many different rooms and stages all over the United States, I thought it would be nice to have a better understanding and source about the room acoustics. This Wikibook page is intended to help the user with basic technical questions/answers about room acoustics. Main topics that will be covered are: what really makes a room sound good or bad, alive or dead. This will lead into absorption and transmission coefficients, decay of sound in the room, and reverberation. Different use of materials in rooms will be mentioned also. There is no intention of taking work from another. This page is a switchboard source to help the user find information about room acoustics.

Sound Fields

Two types of sound fields are involved in room acoustics: Direct Sound and Reverberant Sound.

Direct Sound

The component of the sound field in a room that involves only a direct path between the source and the receiver, before any reflections off walls and other surfaces.

Reverberant Sound

The component of the sound field in a room that involves the direct path and the path after it reflects off of walls or any other surfaces. How the waves deflect off of the mediums all depends on the absorption and transmission coefficients.

Good example pictures are shown at Crutchfield Advisor, a Physics Site from MTSU, and Voiceteacher.com

Room Coefficients

In a perfect world, if there is a sound shot right at a wall, the sound should come right back. But because sounds hit different materials types of walls, the sound does not have perfect reflection. From 1, these are explained as follows:

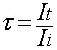
Absorption & Transmission Coefficients

The best way to explain how sound reacts to different mediums is through acoustical energy. When sound impacts on a wall, acoustical energy will be reflected, absorbed, or transmitted through the wall.


Absorption Coefficient: NB: this chemical structure is unrelated to the acoustics being discussed.


Transmission Coefficient:


If all of the acoustic energy hits the wall and none is reflected, the alpha would equal 1. The energy had zero reflection and was absorbed or transmitted. This would be an example of a dead or soft wall because it takes in everything and doesn't reflect anything back. Rooms that are like this are called Anechoic Rooms which looks like this from Axiomaudio.

If all of the acoustic energy hits the wall and all reflects back, the alpha would equal 0. This would be an example of a live or hard wall because the sound bounces right back and does not go through the wall. Rooms that are like this are called Reverberant Rooms like this McIntosh room. Look how the walls have nothing attached to them. More room for the sound waves to bounce off the walls.

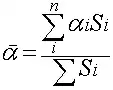
Room Averaged Sound Absorption Coefficient

Not all rooms have the same walls on all sides. The room averaged sound absorption coefficient can be used to have different types of materials and areas of walls averaged together.


RASAC:                    


Absorption Coefficients for Specific Materials

Basic sound absorption Coefficients are shown here at Acoustical Surfaces.

Brick, unglazed, painted alpha ~ .01 - .03 -> Sound reflects back

An open door alpha equals 1 -> Sound goes through

Units are in Sabins.

Sound Decay and Reverberation Time

In a large reverberant room, a sound can still propagate after the sound source has been turned off. This time when the sound intensity level has decay 60 dB is called the reverberation time of the room.


           


Great Reverberation Source

Great Halls in the World

Foellinger Great Hall

Japan

Budapest

Carnegie Hall in New York

Carnegie Hall

Pick Staiger at Northwestern U


Concert Hall Acoustics


References

[1] Lord, Gatley, Evensen; Noise Control for Engineers, Krieger Publishing, 435 pgs

Back to Engineering Acoustics

Created by Kevin Baldwin

This article is issued from Wikibooks. The text is licensed under Creative Commons - Attribution - Sharealike. Additional terms may apply for the media files.