< Statistics < Distributions

Geometric Distribution

Geometric
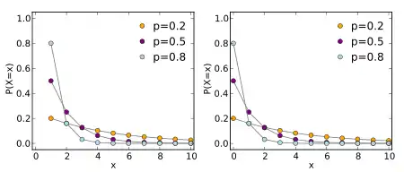
Probability mass function
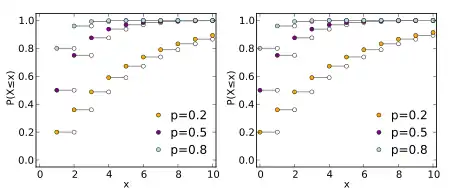
Cumulative distribution function
Parameters success probability (real)
Support
PMF
CDF
Mean
Median (not unique if is an integer)
Mode
Variance
Skewness
Ex. kurtosis
Entropy
MGF ,
for
CF

There are two similar distributions with the name "Geometric Distribution".

  • The probability distribution of the number X of Bernoulli trials needed to get one success, supported on the set { 1, 2, 3, ...}
  • The probability distribution of the number Y = X  1 of failures before the first success, supported on the set { 0, 1, 2, 3, ... }

These two different geometric distributions should not be confused with each other. Often, the name shifted geometric distribution is adopted for the former one. We will use X and Y to refer to distinguish the two.

Shifted

The shifted Geometric Distribution refers to the probability of the number of times needed to do something until getting a desired result. For example:

  • How many times will I throw a coin until it lands on heads?
  • How many children will I have until I get a girl?
  • How many cards will I draw from a pack until I get a Joker?

Just like the Bernoulli Distribution, the Geometric distribution has one controlling parameter: The probability of success in any independent test.

If a random variable X is distributed with a Geometric Distribution with a parameter p we write its probability mass function as:

With a Geometric Distribution it is also pretty easy to calculate the probability of a "more than n times" case. The probability of failing to achieve the wanted result is .

Example: a student comes home from a party in the forest, in which interesting substances were consumed. The student is trying to find the key to his front door, out of a keychain with 10 different keys. What is the probability of the student succeeding in finding the right key in the 4th attempt?

Unshifted

The probability mass function is defined as:

for

Mean

Let q=1-p

We can now interchange the derivative and the sum.

Variance

We derive the variance using the following formula:

We have already calculated E[X] above, so now we will calculate E[X2] and then return to this variance formula:

Let q=1-p

We now manipulate x2 so that we get forms that are easy to handle by the technique used when deriving the mean.

We then return to the variance formula

This article is issued from Wikibooks. The text is licensed under Creative Commons - Attribution - Sharealike. Additional terms may apply for the media files.