Crosslinking is one method that is used to study the interactions in protein and is often called bioconjugation when referring to proteins. Crosslinking involves covalently attaching a protein to another macromolecules (often another protein) or a solid support via a small crosslinker. A crosslinker, or a crosslinking agent, is a molecule which has at least two reactive ends to connect the polymer chains. The crosslinkers are usually reactive toward functional groups common on proteins such as carboxyls, amines, and sulfhydryls.
Types of Crosslinkers
Homobifunctional Crosslinkers
Homobifunctional crosslinkers are molecules that have the same reactive groups on each end of the crosslinker. Homobifunctional crosslinkers can give a good idea of all the interactions between molecules present in a solution or cell, but it can also cause unwanted crosslinks. The reactive ends are impartial and may crosslink a protein to an identical protein when interactions between different proteins are desired. Homobifunctional crosslinkers often also create intramolecular crosslinks.[1]
Heterobifunctional Crosslinkers
Heterobifunctional crosslinkers are molecules that have different reactive groups on each end of the crosslinker. Heterobifunctional crosslinkers can be more selective in the crosslinks formed because the reactivity of each group can be chosen so that a specific protein will only bind to one end. A two-step process can also be set up to minimize undesired crosslinks. First a crosslinker is added to a solution with one particular protein and allowed to react. The protein with the crosslinker attached is then purified and added to a solution with a second protein that will form a crosslink with the other reactive group on the crosslinker. This new structure can then be analyzed using different techniques to see if the proteins connected, how many connected, or other desired information.[2]
Crosslinker Reactive Groups
There are a number of different reactive groups used in crosslinkers that are targeted towards different functional groups on proteins including carboxyls, amines, sulfhydryls, and hydroxyls. Crosslinkers are generally selected based on their reactivity, length, and solubility. Crosslinkers can also be spontaneously reactive upon addition to a sample or be activated at a specific time, generally through photo-reactive groups.
Although a crosslinker can be chosen to target only a certain type of functional group, most proteins contain several residues with each type of group. If multiple target sites are available for binding, the crosslinker will lose specificity and multiple crosslinked products will be formed. However, a crosslinker will only be able to bind if the target functional group is on the surface of the protein. Thus, protein folding will often block access to a number of possible reaction sites and allow for greater specificity in crosslinking.
N-Hydroxysuccinimide Esters (NHS Esters)
NHS esters react with amines to give stable amide groups. As such, NHS esters are useful for linking to the N-terminus or lysine residues on a protein. The reaction is generally carried out in slightly alkaline conditions (pH 7.2-8.5). However, the desired reaction competes with hydrolysis of the NHS ester. The rate of hydrolysis increases with increasing pH, so the pH of the buffer solution must be closer controlled.
Imidoesters
Imidoesters are reactive groups that form amidines with primary amines. Like NHS esters, imidoesters are useful for linking to the N-terminus of a protein or a lysine residue. The reactivity of imidoesters increases with pH and the reaction is generally carried out between pH 8 and 10. However, imidoesters become labile at higher pH, and are thus not as stable as NHS esters. Imidoesters are useful for linking membrane proteins and for probing lipid-protein interactions, as they are able to penetrate the cell membrane.
Carbodiimides
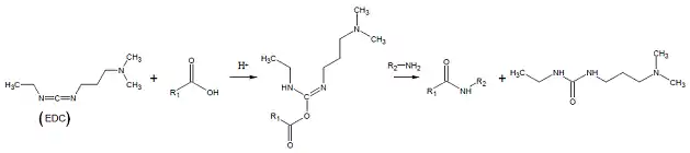
Carbodiimides are not traditional crosslinkers in that crosslinker itself does not become part of the protein-protein complex. Carbodiimides instead covalently link two proteins directly together by forming an amide bond between a carboxylic acid group of one protein and an amine group of another. Because of the mechanism of carbodiimide crosslinkers, they are by nature zero length (they do not become part of the molecule) and heterobifunctional crosslinkers. EDC (1-Ethyl-3-(3-dimethylaminopropyl)carbodiimide) is the only well known carbodiimide crosslinker.[3]
Maleimides
Maleimides react with sulfhydryls at physiological pH to produce a stable thioether linkage, and are usually linked to a cysteine residue. Since there are often far fewer free sulfhydryl groups than amine groups on a protein, maleimides tend to be more specific than reactive groups that target amines. Also, since sulfhydryls are often involved in disulfide bonds, connection to a crosslinker often does not disturb the structure of the protein.
Haloacetyls
Like maleimides, haloacetyls react with sulfhydryl groups at physiological pH to give a thioether linkage. The most common haloacetyls are iodoacetyls and bromoacetyls, and they react via a nucleophilic substitution of the halide by the sulfur of the sulfhydryl.
Pyridyl Disulfides
Pyridyl disulfides react with sulfhydryls to form disulfide bonds. They are active over a wide pH range, but pH 4-5 is optimal. Because a disulfide bond is formed, the linkage can be cleaved with normal disulfide reducing agents.
Diazirines
Diazirines are an example of a photo-reactive group. While most other reactive groups are spontaneously reactive upon addition to a sample, a photo-reactive group will be inert until activated by exposure to ultraviolet light. Diazirine analogs of methionine and leucine are typically incorporated into a protein and then photo-activated in the sample solution or cell. When activated, the diazirine will react with any protein within a few angstroms of the photo-reactive analog. This allows for protein-protein interactions to be captured and studied in live cells.[4]
Despite the structural modifications, the proteins made from diazirine analogs of methionine and leucine are still viable, although their growth is slowed slightly. This allows for the creation of photo-reactive proteins that lack toxicity. The amino acid analogs and the proteins they are incorporated in can thus be used to study in vivo protein-protein interactions without greatly disturbing the cell.[5]
Protein Crosslinking Applications
Crosslinking is a good technique to learn more about protein-protein interactions. Frequently the interactions between proteins are too weak to notice normally, but with crosslinking the interactions can be solidified and detected easily. This could be useful in determining if certain proteins in a cell interact with each other and could lead to more information on how a cell functions. Another use of crosslinking is to attach proteins to solid stations to immobilize them in order to analyze them more easily. Crosslinking can also be used to attach a tag to a protein to help detect its presence.[6][7]
Crosslinkers can be chosen with different lengths between the reactive ends which can help determine the distances between certain functional groups in a protein structure. For example: if several crosslinkers, with the same reactive ends but with different lengths, were added separately to a solution with the desired protein to be analyzed, then depending on which solution reacted one would be able to tell the distance between the functional groups of interest based on the crosslinker added.
Protein-Protein Interactions
Interactions between proteins can be determined using crosslinkers to essentially freeze two proteins together while they are interacting. This technique creates a stable protein pair that can be purified or studied via gel electrophoresis or Western blotting. It is most common to characterize protein-protein interactions in vivo, where crosslinking can be performed at different times after a desired interaction has been initiated. The resulting crosslinks can give an indication of the interactions taking place in a cell during a response to some stimuli.
Another way of using crosslinkers to study protein-protein interactions is to use cleavable, labeled, photo-reactive crosslinkers to label any protein that interacts with a "bait" protein. The label may be a radioactive isotope or mass variant. A heterobifunctional crosslinker is usually used, with one end being linked to the purified bait protein and the other end being a photo-reactive group. The photo-reactive end can be activated at different times by UV radiation, which will cause it to immediately react with the first group it encounters - hopefully a protein or co-factor that is interacting with the bait protein. The crosslinker can then be cleaved, transferring the label to the other protein or co-factor.
Structural and Subunit Analysis
Crosslinkers can be used for the quantification of certain amino acids and for determining the number of and distances between subunits. Using multiple crosslinkers that vary only in length allows the distances between particular amino acid functional groups to be determined. This information can be used to determine the relative positions of amino acids in secondary, tertiary, and quaternary structures. Homobifunctional crosslinkers that bind sulfhydryl groups can also be used to replace the disulfide bonds in a protein with non-cleavable linkages.
Immunotoxins
Crosslinkers can be used to link a toxin molecule to an antibody that is targeted at tumor cells. The antibody will bind to antigens on the surface of the tumor cell and the crosslinked complex is taken up by the cell. Once inside, the toxin is released and activated, killing the cell. To be effective, the crosslinked antibody-toxin must be stable and able to locate and target the correct cells in vivo.
A cleavable crosslinker is needed for immunotoxins so that the toxin is released once inside a cell. SPDP is one of the most common crosslinkers used for immunotoxins and contains an NHS-ester and a pyridyl disulfide group. The NHS-ester is first linked to the antibody and then the pyridyl disulfide is linked to the toxin. Since many toxins do not have surface sulfhydryls, free sulfhydryls are created by reducing disulfide bonds. Some of the toxins used are ricin and abrin.
Protein-Protein Conjugation
Protein-protein conjugates are used in a number of immunodetection methods such as ELISA and Western blotting. Usually, an enzyme is linked to an antibody specific for an antigen of interest. The antibody will bind to the antigen and the attached enzyme will catalyze a detectable reaction, indicating the presence of the antigen. Horseradish peroxidase and alkaline phosphatase are the most common enzymes used as they produce products that are easily detected by spectroscopy.
Small peptide antigens can also be conjugated to larger proteins for the production of immunogens. Immunogens are usually prepared by injecting animals, typically mice, with an antigen and collecting the antibody produced by the animal in response. Small peptides are often not large enough to produce an antigenic response in animals, so linkage to a larger protein can be necessary to create an effective antigen.
Solid-Phase Immobilization
Crosslinkers can be used to attach proteins to solid supports by selecting a solid resin containing functional groups that one end of the crosslinker is specific for. Attaching a protein to a solid support allows for affinity purification and for protein analysis. Other biological molecules such as DNA can be attached to solid supports in a similar fashion. Although DNA crosslinking is hindered by the lack of functional groups usually targeted by crosslinkers, DNA can be modified by adding primary amines or thiols to specific bases to increase crosslinker activity.
References
- ↑ Protein Interactions/Cross-linking. (2009, July 20). In Wikibooks, Proteomics. Retrieved October 25, 2009.
- ↑ Chemistry of Crosslinking (2009). In Thermo Scientific Protein Methods Library. Retrieved October 18, 2009.
- ↑ 1-Ethyl-3-(3-dimethylaminopropyl)carbodiimide (2009, August 27). In Wikipedia, The Free Encyclopedia. Retrieved October 25, 2009.
- ↑ Cross-link (2009, October 18). In Wikipedia, The Free Encyclopedia. Retrieved October 25, 2009.
- ↑ Suchanek, M., Radzikowska, A., and Thiele, C. (2005) Photo-leucine and photo-methionine allow identification of protein-protein interactions in living cells. Nature Methods. 2, 261 – 268
- ↑ Overview of Crosslinking and Protein Modification (2009). In Thermo Scientific Protein Methods Library. Retrieved October 18, 2009.
- ↑ Protein Crosslinking Applications (2009). In Thermo Scientific Protein Methods Library. Retrieved October 18, 2009.