Is it possible to have a planet that is both bigger than Earth and weaker in terms of gravity? I've got an idea about it being less dense, but I don't know what to do about its magnetic field. I need to know this because I desperately want to write a short story involving human-powered flight with artificial wings. To clarify, what would the requirements be to have a planet larger than Earth, with weaker gravity, and a magnetic field strong enough so that people don't need extra protection from solar radiation?

- 101,188
- 25
- 303
- 542

- 2,193
- 1
- 15
- 23
-
size is easy earth is actually the densest planet becasue of its weird history, a magnetic field is a bit more tricky though. – John Dec 01 '16 at 22:01
-
Related: https://worldbuilding.stackexchange.com/q/96984 – Dubukay Apr 30 '19 at 06:22
6 Answers
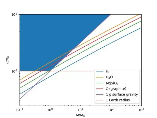
Bigger planets don't always have greater masses. Remember, mass and volume are related by $$M=\rho \frac{4}{3} \pi R^3$$ where $\rho$ is density. Make $\rho$ small enough and the gravity and be as weak as you like. So the answer to the title question is a firm "yes." I did some playing around with this based on mass-radius relations by Seager et al. 2008 and created a modified plot of mass and radius based on several different compositions:
The blue shaded region is the allowed subset of parameter space with planets satisfying $R>R_{\oplus}$ that have surface gravities less than Earth's - the properties you want. Very few terrestrial planets occupy this area, and few are primarily silicates, like Earth. Your planet is likely to have significant quantities of water and may be an ocean world.
with weaker gravity, and a magnetic field strong enough so that people don't need extra protection from sun radiation?
This is trickier. According to the dynamo theory, the magnetic field is governed by the induction equation $$\frac{\partial \mathbf{B}}{\partial t}=\eta\nabla^2\mathbf{B}+\nabla \times (\mathbf{u} \times \mathbf{B})$$ where $\mathbf{B}$ is the magnetic field, $\mathbf{u}$ is velocity, $t$ is time and $\eta=1/\sigma\mu$, where $\sigma$ is the electrical conductivity and $\mu$ is the permeability. Note that nowhere in there is a term involving the radius of the core. In the nonlinear theory, density does come into it. But that's the density of the material in the core. The planet could have a large mantle that contributes significantly to its radius. So the magnetic field can be any (reasonable) strength you want; it might not be impacted by planetary radius.
The tricky thing is that while the magnetic field protects us from the solar wind, we also have to worry about UV radiation. That's why the ozone layer is our saving grace, so to speak, and why its depletion by chlorofluorocarbons is such a big deal. I bring this up because a planet with certain characteristics (i.e. much bigger and yet less massive) will have a weaker gravitational pull on its atmosphere (with the strength depending on radius and mass).
Lighter gases escape easier from a given planet than do heavy gases. That's why the Earth lost any primordial hydrogen and helium envelope it might have had. Make this planet too big and you risk losing ozone. Sure, the planet would have to be pretty big (while staying at the same mass), but it could happen. A stronger magnetic field might solve this, but its contributions might not be too great.

- 101,188
- 25
- 303
- 542
-
Presumably a less-dense planet might compress more under its own gravity, or does that tend to cancel out? – Dan Smolinske Mar 06 '15 at 01:15
-
@DanSmolinske Density in planetary formation is strongly affected by what materials it is initially composed of. So it might not compress and shrink if the right stuff comes together. – HDE 226868 Mar 06 '15 at 01:18
-
The induction equation doesn't specify radius, it wouldn't, it's not in spherical coordinates. It does include both a velocity vector and (partial derivative with respect to) time, so clearly distance is a factor. The larger the core, the slower it's required to spin to generate a larger (sufficient) magnetic field. – Samuel Mar 06 '15 at 06:51
-
Sorry it took me so long to actually choose an answer, I don't know why I hadn't already! – Jetscooters Oct 30 '16 at 23:37
A strong magnetic field comes with a heavy iron core, so a significantly lower density than Earth is probably out.
Fortunately, a magnetic field isn't the only way to get protection from radiation. A thicker atmosphere will block a lot, with the added bonus of making it easier to fly.
You also have the option of accepting a certain amount of radiation, especially if you limit the time spent outside. Sleep underground, and you can handle twice as much radiation when you are out flying around.
The low gravity and solar wind exposure may make it hard for the planet to hold on to an atmosphere, but that would happen over millions of years. Native life may not have time to evolve, but it wouldn't be a problem for humans visiting or for life introduced from elsewhere.

- 1,443
- 9
- 10
-
Would an as of yet undiscovered, lighter ferromagnetic material as a core also work for a magnetic field? – Jetscooters Mar 06 '15 at 03:54
-
Possibly, but where would you find such a material? Some sort of complex crystal would be most believably undiscovered, but that doesn't seem compatible with planetary core conditions. – Quentin Clarkson Mar 06 '15 at 04:13
-
It'll probably be handwavium. People find planet, people marvel at new element in planet like iron, but lighter. Core is made of it. Boom. Thanks for your answers! – Jetscooters Mar 06 '15 at 12:24
Yes, it can be possible, and I can give you a solid example that exists in real life, and that too, in our solar system.
Ladies and gentlemen, I would like you to meet Uranus. (no pun intended)
Uranus is about 4 times wider than the Earth, and is 14x the mass. Yet, Uranus has the same gravity as Venus, a meagre 8.87 m/s2. Uranus has about 10% lower gravity than Earth's.
The reason for this is density.
Take a look at Saturn for example. It has nearly a third of the mass of Jupiter (95 earths) and yet its gravity is about 10.44 m/s2. This is because Saturn is less dense than water, and is so voluminous, that its surface gravity is really low. Saturn's surface, or atleast the altitude above Saturn's centre, where the pressure is roughly similar to Earth's atmosphere, is really far away from the center.
Uranus, similarly, despite having 14x the mass and 4x wider than Earth, has only $\frac{1}{4}$th of Earth's density, (1.27 g/cm2 vs 5.51 g/cm2. This means that Uranus is pretty voluminous, and its surface is really far from its interior. Despite this, Uranus has a (lopsided) magnetic field. Uranus's magnetic field, which is stronger than Earth's.
So the answer is:-
It is possible to have a planet that is both bigger than Earth and weaker in terms of gravity.

- 3,402
- 6
- 39
If you want terrestrial planet I strongly suggest to take a look at this video The Trouble with Terrestrials that explain what are the bound of the terrestrial planet it is based on this paper check chart on page 19 on what are your choices regarding planet size and composition.

- 4,958
- 2
- 22
- 43
Uranus has a gravity of 8.69 m/s2 at the surface, compared to Earth's 9.81, and if I recall correctly it is somewhat larger than Earth. (I just happened to see your question and looked this up - you didn't technically rule out that the planet is a gas giant, though it's probably not what you had in mind.)

- 259
- 1
- 4
-
Uranus is also a gas planet, not a terrestrial, making it a poor comparison. – Yora Dec 04 '16 at 11:06
Just a bit belated on the answer, but assuming that human-powered winged flight is your primary goal, and not the planet's size or gravity, then a thicker atmosphere may be the way to go. It's been speculated that the atmosphere on Titan could easily sustain human-powered flight.

- 654
- 5
- 9