6

Background

I was pondering my answer to this question. I asked myself, "Why would I only do a 45-minute burn and then float for 3 months to get to Mars?". Then I answered, "Because you only have so much reaction mass; you can't let it rip for three months straight."

But is that really a good answer? Spaceships today just burn once then cruise, but they are also small. Will the space freighters of the future use the same principles?

Assumptions

Your power source is a Fission-Brayton cycle system. Fuel costs must be accounted for when calculating how long to burn. The engine is replaced as a single unit with all fuel included and costs 5000 bars of gold pressed platinum (bogl); its service life is 10,000 hours operating at full power (100 MWe). Only the full power hours during burn need be accounted for.

Your engine is a bank of Magnetoplasmadynamic Thrusters. These engines have variable impulse at full power. High impulse setting is a specific impulse of 100 km/s and 1 kN thrust for a fuel usage rate of 0.01 kg/s. Low impulse setting is a specific impulse of 15 km/s and 7.5 kN thrust with fuel use rate of 0.5 kg/s for a Fuel (lithium) costs 2 bogl per (metric) ton.

Your vessel will be manned. Each crewmember must be paid 1 bogl per year. The above configuration requires an engineer officer on watch at all times and thus takes a crew of 6. The longer the trip takes, the more you have to pay the crew.

Your cargo plus the weight of spacecraft is 10,000 tons, not including your lithium reaction mass.

Your goal is to fly from Earth to Mars (225 million km) starting in geostationary orbit of Earth.

Question

What burn profile (firing engines at high or low impulse, for how long, in what sequence) will get you from Earth to Mars minimizing both the time and cost it takes to get there?

NOTE: This is a math problem. A correct answer will use the above assumptions and numbers. You can substitute your own systems and assumptions with good reasoning, but only systems that have a working prototype can be used, and assumptions about power output, etc. must be justified.

NOTE2: Time and cost cannot both be minimized at the same time. A correct answer will provide reasoning about how to prioritize each factor against the other.

NOTE3: Remember, you have to decelerate!

kingledion
  • 85,387
  • 29
  • 283
  • 483

1 Answers1

6

So, we have 3 costs - engine wear, fuel cost, crew payments - and we have to balance them to get out zeros, I suggest piracy on the way, lol.

To reach the Mars from GEO needs delta-v about 3 km/s( the exact number is not important).

100km/s impulse - 10000 tons craft need 305 tons of fuel, acceleration time about 4294 hours (in fact it will be more than that) cost is 610 + 2147 = 2757 bogl

15km/s - 2214 tons of fuel, 1357 hours
cost is 4428 + 679 = 5107 bogl

Neither of both situations will take us more than 2 years, so, price of payment for the crew is less than 1% of total expenses, and will not affect the total cost in a significant way, therefore balance is between hour rates for engine work and hour rates of fuel expelled at that ISP and total time of acceleration.

hourly rate for the engine is 0.5 bogl/hour(minimal wage) + fuel bonus.

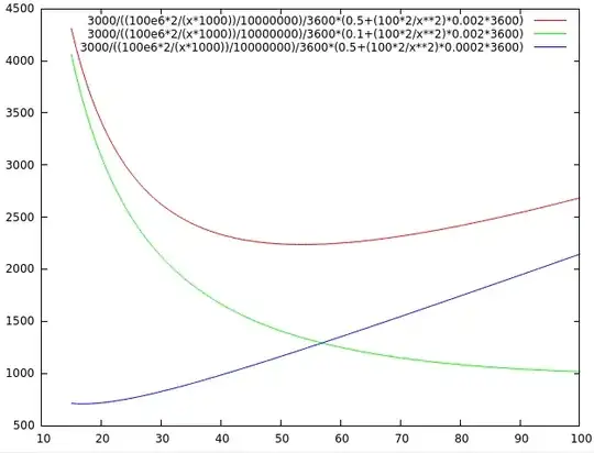
First order of approximation, we looking for a minimum of the red plot like this one: enter image description here

Green plot is how it looks like when engine time is cheap, blue if fuel is cheap.

Red plot minimum is about 50km/s (no further calculations just looking at the plot)

It has to be noticed that it is just for the time needed to gain just(!) 3 km/s of delta-v needed for transfer from GEO to some orbit intersecting Mars orbit with following air-capture maneuver.

Price for the crew is not very important there, even if travel will take 100 years.

In fact, higher trust (and lower ISP) will be more optimal, as it rotates velocity vector less amount of time (those vector rotations are counter productive for delta-v gain, the situation will be better than for usual probes but I have to note that incorrectness).

The task as whole is not just a simple math problem, and it does not have some simple analytical solution, because of orbital mechanics involved. It may do not have an analytical solution at all, but I'm not sure about that.

Another problem is - it is not a continuous solution field, if we have pay fixed sum for the engine replacement, because if we spend let say 5001 hours of engine work on the way to Mars, and have to spend also 5001 hours on the way back we should replace engine completely - and time of engine work depend on orbits we use, so theoretical minimums may be no achievable on practice in some situations.

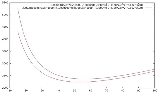
Also on the plots it is not accounted for a different initial mass of the craft, the difference is about 20% for low ISP and 3% for higher ISP - so, real optimum of ISP will be higher than red plot shows. The real value will be in-between of those two plots (red is same red as in plot above, purple-ish worsts case scenario):

enter image description here

Formulas for plots are:

$$ \text{Total mass of the craft} = M_0 \cdot e^{\frac{\text{delta-v}}{\text{ISP}}} $$ $$ \text{Fuel mass} = \text{Total mass of the craft} - M_0 $$ $$ \text{fuel consumption per second} = \frac{2 \cdot \text{reactor power}}{\text{ISP}_{m/s}^2} $$ $$ \text{acceleration}_\text{optimistic plot, red} =\frac{\text{ISP}_\text{m/s}\cdot \text{fuel consumption per second}}{M_0} $$ $$ \text{acceleration}_\text{pessimistic plot, purple} =\frac{\text{ISP}_\text{m/s}\cdot \text{fuel consumption per second}}{\text{Total mass of the craft}} $$ $$ \text{Cost} = \frac{\text{delta-v}}{\text{acceleration}} \cdot (\frac{\text{engine hourly rate}}{3600 \text{sec}} + 0.002\cdot\text{fuel consumption per second}) $$

I encourage someone to find the optimum, but I'm not going to do it myself - 50000-54000 m/s ISP is good enough for me in this situation.

MolbOrg
  • 6,470
  • 1
  • 18
  • 60
  • 3
    There is also the issue of transfer orbits, gravitational slingshots, etc - tricks that can much reduce fuel usage at the cost of longer transit times. – Tim B Dec 07 '16 at 09:34