theres a realatively easy answer here, and seeing as you have a 1/2 cost multiplier lets get going with costs!
Problem: 20 lightyears
Even if we hit an impressive 1% of c(speed of light in a vacuum) it would take 2,000 years, and being a human we want to claim this prize in our life time, so lets assume people fresh out of uni at age 22, who live to 82... lets assume 10 years building time, leaving us 30 years to travel that distance (and 20 years for the information to get back), so we need to design something to travel at 2/3 of the speed of light
**Solution **
We need powerful lasers, the most powerful laser is MIRACL, or Mid-Infrared Advanced Chemical Laser, which can operate at 1 megawatt for 70 seconds, which is all we need from the laser front, because it's going to accelerate a probe using the momentum of light!
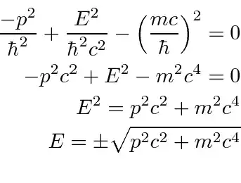
You see, Einstein didn't say E = mc^2, its just a simplified version that works for objects moving at speeds less than about half a percent of the speed of light, you can rearrange that equation to show you the momentum of light:

Why is this relevent? Our probes are going to be the size of pennies, and are going to use tiny solar sails. Oh, and there are going to be millions of them:
Now, current Earth technology estimates that we can get this probe upto about 1/5 of the speed of light, which isn't bad for something not developed yet. BUT remember the 1/2 cost multiplier, and we are going to up the budget. So given that, it's reasonable to assume that we can get this speed up to 2/3 of the speed of light, we just need a lot of lasers and the initial capital, but other than that, you have your 2/3 of the speed of light probe!
This isn't going to win the landing prize, but it really should win the orbital probe prize, as the closer it gets to the star we aim at, the more it will brake because of the solar sail, then you have millions of probes in relatively close proximity to a star that can take lots of measurements to retrieve and send back data.