80

I'm thinking of a world that values freedom but rates intelligence and logic so much that it dominates the entire society. Pupils take tests during school and this is averaged out and then given a value.

Various SCI-FI cultures are based on logic (Vulcan for one example)

This voting system would be proportional representation, but when you vote you vote with your IQ, thus everyone has a vote but it is weighted by their IQ.

I.e. someone with an IQ of 140 would get 140 votes. someone with an IQ of 70 would get 70 votes and so on.

Therefore the intellectual has more weight in a vote, but only an edge.

Real high level of IQ become inaccurate so let's assume that it's capped at 150 and the bottom is capped at 50.

What would be the possible issues of this voting system?

Sam Weaver
  • 402
  • 6
  • 11
JamesD
  • 1,091
  • 1
  • 7
  • 11
  • 3
    connected https://politics.stackexchange.com/questions/10123/what-are-the-problems-of-iq-tests-for-elections – TGar Jun 10 '17 at 09:40
  • 1
    Related question: https://worldbuilding.stackexchange.com/questions/46025/effects-of-know-before-you-vote-political-system – Golden Cuy Jun 11 '17 at 11:22
  • Comments are not for extended discussion; this conversation has been moved to chat. – HDE 226868 Jun 12 '17 at 21:46
  • 6
    Comments are for exactly this: "The issues with IQ tests themselves would be amplified. I suggest you look into that before deciding if this is a good (or reasonable) idea." – Mazura Jun 12 '17 at 22:10
  • By definition, half of your population will be under represented. It might be a problem if you have pretenses of democracy. – AmiralPatate Jun 13 '17 at 07:14
  • 1
    It's a voting system based on "ad hominem" and "appeal to authority" at the same time. We are judging the worth of a vote based on who cast it, not on the ideas that inspired it. That said, I think it's a great idea! My IQ test result was "trace amounts" - is that good? – Grimm The Opiner Jun 13 '17 at 07:44
  • 5
    It seems as a great idea; but I would weight the votes by how knowledgeable the individual is against how intelligent he is, because there are intelligent people who don't understand (or don't care about) "mundane", "political" and/or "social" stuff. Their vote may be great for economics but terrible for social policies or law. Of course, measuring how knowledgeable is someone is an even bigger can of worms (and more prone to bias/fraud) that measuring raw intelligence, if our history with academia is any measure of it. – xDaizu Jun 13 '17 at 10:12
  • @GrimmTheOpiner - value of a vote is always based on who cast it, we just pretend these days that everyone's opinion is equally important. – Davor Jun 13 '17 at 10:21
  • @Davor the weight of a vote is the same, the weight of an opinion is far more (why politicians like celebrities endorsing them) – JamesD Jun 13 '17 at 12:06
  • "If you vote for candidate X, you are ipso facto clearly a moron, and so your vote only counts for half." – Reinstate Monica -- notmaynard Jun 13 '17 at 14:23
  • Voter Turnout? Population Dispersion by IQ? – Jammin4CO Jun 13 '17 at 15:29
  • 2
    Judging someone by his IQ is just like looking at a 1L bottle and pretend it contains more liquid than the 0.5L bottle – Etsitpab Nioliv Jun 14 '17 at 09:12
  • I recall briefly in psychology reading about The Chitling Test (https://en.wikipedia.org/wiki/The_Chitling_test) which wasn't so much a test for actual taking as a test to prove a point that "intelligence" is often defined within the context of the test maker's culture. The Chitling test's point was to prove the certain minority groups can have their own vernacular and, thus, have their own forms of cultural "intelligence". A sample of the test is within the above Wikipedia article. If this were part of an IQ test, I'd be a dismal failure, which emphasizes the point of the marked answer. – RLH Jun 14 '17 at 13:52
  • 1
    The specific system proposed in this question would have a pretty small effect. The smartest folks would get 150 votes versus the dumbest getting 50 votes, so that's a 3-to-1; however, both of those segments of the population are very small. Most people'll continue to have roughly the same voting power as before, just it'll be called "100 votes" instead of "1 vote". – Nat Jun 15 '17 at 14:10
  • 1
    Issue #1 is that it would make the stupid half of the population angry. And angry stupid people are likely to act violently. – Richard Jun 17 '17 at 18:41
  • A better) system would be to divide people into groups for IQ range: < 50, 50-54, 55-59, ...., 145-149, >=150 and then determine what was voted for in each group. Then weigh each outcome by the IQ range (giving a higher weight to higher IQ's), not necessarily linear ;). ) I'm being semi-sarcastic, voting isn't going to be the Best Thing anyway; it's just a majorly flawed concept. Carlo (IQ > 165). – Carlo Wood Jun 18 '17 at 12:32
  • Even though there are issues with this voting system, you should go for it. The issues would make for some good stories (no system is perfect). – Jack R. Woods Apr 14 '18 at 05:11

25 Answers25

140

The most obvious issue applies to all weighted voting systems, whoever gets to define the tests has power to influence the vote.

Say everyone on the IQ evaluation board is of a particular political persuasion or have the same opinion on a political topic. This bias could subtly (or overtly) be introduced into the IQ testing, giving higher IQ rating to people with similar political opinions and lower IQ ratings to those who disagree.

This means that when it is time to vote the people with certain opinions would automatically have an edge with their higher IQ ratings.

In addition to the possibility of bias from those preparing and administering the tests, there are additional problems. As mentioned in PipperChip's comments even if the tests were able to accurately measure general intelligence, high IQ would not guarantee that the person has any knowledge of the facts or experience with the issues involved in the various items being put to a vote. General intelligence would not make your uniformed opinion more valid than a well experienced expert with a below average IQ. Those with subject matter expertise and advanced degrees often feel it makes them qualified to offer opinions outside their area of expertise, this does nothing to stop them from frequently being wrong.

Additionally many legal and voting issues are based on value judgments and opinions which don't fall into a simple right/wrong dichotomy and are not affected so much by the intelligence or knowledge of the individuals voting, but by those individual's different desires for a society.

T.J.L.
  • 1,005
  • 13
  • 20
Josh King
  • 24,856
  • 5
  • 65
  • 96
  • 3
    I didn't think of that, in that case you would need a set of people watching the test masters. – JamesD Jun 09 '17 at 15:03
  • 57
    I think this answer could be improved by pointing out that doing well on an IQ test is not the same as being an expert in whatever is being voted on. I, at least, value the voice of experience (from an expert) over the voice of someone who is merely smart (like 'me'). – PipperChip Jun 09 '17 at 15:27
  • 4
    Positive feedback is a problem for all governments. Presumably you only make smart people testers, so giving them an extra advantage doesn't seem entirely out of line with the premise. @JamesD Quis custodiet ipsos custodes? If smart people are being subtle who are you going to use to check their work? What keeps the conspiracy from forming in the checkers? It's turtles all the way down. –  Jun 09 '17 at 15:33
  • @PipperChip: The set of experts on a subject matter are often biased for self interest. – Joshua Jun 09 '17 at 15:38
  • @Joshua Does that make non-experts unbiased? – Kyle Jun 09 '17 at 17:17
  • 9
    @Joshua Guarding against such bias is important, but uninformed opinions put into action are much, much worse. – PipperChip Jun 09 '17 at 17:38
  • 1
    @JamesD, remember that the watchers may also have a political agenda. – ShadoCat Jun 09 '17 at 18:11
  • 10
    @JamesD and who watch the watchmen? – Orejano Jun 09 '17 at 18:26
  • 2
    @PipperChip sure, uninformed opinions cause problems, especially in politics and voting, but intelligence is not the same and being informed, so favoring intelligence does nothing about this problem. Or do you really think that a homeless serial killer/mad bomber is more informed than you, and ought to get more votes? – HopelessN00b Jun 09 '17 at 20:21
  • @HopelessN00b Yes, the Josh King should discuss the difference between intelligence, expertise, and the virtues of each with respect to voting systems. I believe you may mistake me; my previous comments clearly show I think of intelligence and expertise as different things, and this introduces a problem with an IQ based voting system. – PipperChip Jun 10 '17 at 05:10
  • 1
    I would add that social inteligence is very different than IQ. In many professions ability to communicate, understand and take into account other people are more important than ability to solve intellectual tasks. I suppose politician is one of these professions. I would be grateful if you add this in your answer – ADS Jun 10 '17 at 08:41
  • 2
    Being informed isn't necessarily a great alternative to IQ either. I'm pretty sure (don't have the source) it correlates with partisanship-- which makes sense, but also shows that the same info can still lead to totally opposite opinions. But pretty much any meritocratic voting system is going to run into similar problems, fast. – Random Jun 10 '17 at 18:35
  • Not to mention "experts" in their own field are often wrong coughMarxcough. – jpmc26 Jun 12 '17 at 23:10
  • Saying that there should be watchman doesn't solve the issue of bias. If we take the SAT tests we have in our society some of the questions do reward certain heuristics about how to do 3D thinking that are more frequently used by men than women.

    Open-mindedness is likely a quality that correlates with performance on some IQ questions and also with political ideology.

    – Christian Jun 13 '17 at 15:23
  • 1
    There is just no universally-agreed-upon standard of test that would be acceptable to all citizens, and thus there would always be some segment of the population that felt unfairly denied of representation. That has historically led to dire outcomes. – Darren Ringer Jun 13 '17 at 18:15
91

The problem is what IQ actually measures. My father was a collector of IQ tests, and I (and my sisters) took well over a dozen before graduating high school. And we reviewed them, and learned the 'trick' of the patterns to recognize, and we did better -- all of us -- with practice. It is a lie that your IQ cannot be increased; take an IQ test every week and understand why your misses were misses, and you will find the same type of questions on subsequent tests. I was personally doing 20 points better on such tests, just between sixth grade and twelfth. I do have natural talent (and went on to earn five college degrees including my PhD), but the fact remains training can improve scores.

As an expert taker of IQ tests, I can also tell you they don't measure anything you care about in politics. IQ tests are generally about puzzle solving, and who gives a crap? I am far more concerned, in politics, with whether people are selfish or cooperative, with how much they understand and accept how much of their lot is due to dumb luck (even the dumb luck of the genetic lottery, being born with natural talent, intelligence, looks or wealth that others were not lucky enough to get -- or vice versa, being born without natural assets, or disabilities, or into poverty, that others were lucky enough to avoid).

You don't have to be as adept at puzzles, math, science and general understanding as I am in order to get my vote, or I wouldn't be able to vote! What I want in a politician is somebody that cares about other people and can navigate political issues to do what I think is truly important: Minimize pain and suffering, prevent others from profiting by creating more misery, and balance our civic duties with our private interests, roughly 50/50. Much like the Norwegian mix of socialism and capitalism.

If you want a scale; use a sociopathy scale like this one, employ lie detection methods if needed, and exclude from politics anybody that scores in the top third, or even top half.

The problem isn't stupid voters, the problem is criminal politicians, sociopathic frauds that promise to fix the problems of voters when their only ambition is self-enrichment.

Amadeus
  • 34,678
  • 5
  • 52
  • 127
  • 1
    So it would be more important for people to train for their IQ test rather than go unprepared. – Alexander Jun 09 '17 at 18:08
  • 3
    @Alexander Absolutely. If you just spend a few months doing crossword puzzles, or Sudoku, you will be better than when you started. IQ tests are often puzzles about "what comes next" in a sequence, "What do these things have in common", "Which is the odd one out", or "think outside the box". Do a dozen of those, fail, learn what the 'right' answer is and why, and you get better at them. Same thing with memorization or vocabulary questions. Word logic problems succumb to practice & learning mental strategies or frameworks for solving them, too. It is, umm, smart to practice for an IQ test. – Amadeus Jun 09 '17 at 18:44
  • 45
    Indeed. On one test, I was shown five pictures: paring knife, teaspoon, hacksaw, garden shovel, and standard screwdriver. Which one doesn't belong? After thinking about their functions in various ways, I finally chose the standard screwdriver as the only one that could not easily be used to separate substances. The official answer saw "the knife, because the others start with 's'" ! A case where more knowledge can actually lower your score. (Or a different native language.) – WGroleau Jun 09 '17 at 19:58
  • "It is a lie that your IQ cannot be increased" it's also a lie because the ability to learn (what IQ tests try to measure) is affected by tons of environmental factors (nutrition, for example). – Christopher King Jun 09 '17 at 20:22
  • 2
    @WGroleau: Agreed; me too (but it is Knife, Saw, Spoon, Shovel, Screwdriver): The screwdriver is the only tool whose edge is NOT ever intended to cut something (Spoon 'cuts' pudding, jelly, semi-solids). Also the only one starting with 3 consonants. Shovel is only tool intended for dirt. (hack)Saw only tool typically intended to cut metal. (paring) Knife the only tool intended to remove a peel. Spoon only tool intended to be used with a liquid. Lesson: Test guess on other choices; see that function can't be it, so look to sound, spelling, shape, rotations, writing strokes, letter count ... – Amadeus Jun 09 '17 at 20:22
  • @WGroleau ... pronunciation (long vowel v short vowel, stress patterns, syllable count), spelling rule violations (weird is weird: i before e except after c or when sounded like "A" as in neighbor and weigh -- does not cover weird!). Knife is also the only one that starts with an unpronounced letter, and the only one that ends that way. Even with your alternative names (like Hacksaw). I consider this an awful IQ question; but after getting it wrong, you can't help but see K S S S S and be irritated but answer as expected. – Amadeus Jun 09 '17 at 20:32
  • 25
    The drawings were sufficiently detailed for me to recognize which type out of many for each tool. So for me, a user of tools since childhood, AND a speaker of more than just English, the letters KSSSS would never have occurred to me. If someone not in a test context suggested sorting goods in a store according to the spellings of their names instead of function, I would have thought it was a really stupid idea. So again, I could have gotten a higher score by psyching out the test writer instead of trying to be sensible. – WGroleau Jun 09 '17 at 20:36
  • 1
    @PyRulez Some nutrition and drug issues can permanently affect IQ. That said, the brain (which I indirectly study through AI simulations) is constantly learning even in old age for most: My 80 year old retired neighbors continue to learn the names of new sports stars and their records, the plot lines of new TV series, the names of contestants they like on The Voice. Especially given the Internet, anybody motivated to get better at IQ puzzle solving can get better at it, just by practicing solving them. With the sad exception of many of the mentally disabled. – Amadeus Jun 09 '17 at 20:39
  • 12
    @WGroleau My point was that if you took an IQ test tomorrow, or ten years from now, and you saw this exact same question, you would answer it correctly. Perhaps with misgivings, but presumably you would score higher. Right? – Amadeus Jun 09 '17 at 20:41
  • 8
    Maybe. Then again, I might get angry at the stupidity and walk out. :-). Like I keep getting angry when bankers still think mother's maiden name is a security question. – WGroleau Jun 09 '17 at 22:10
  • "The problem isn't stupid voters" - going by recent US elections, it definitely is. I would agree that IQ is probably not the best measure of this, but "intelligent" (and informed and concerned) voters would not vote for someone constantly contradicting him/herself in the public eye in big ways and would see right through obvious attempts at emotional manipulation and instead favour someone having good, well-thought-out, concrete plans for office. You don't need some other (also flawed) tests for candidates if voters know what they're doing (thanks to e.g. proper education). – NotThatGuy Jun 11 '17 at 14:34
  • 4
    @NotThatGuy If they believe the "well thought out" candidate is a liar and thief, why vote for that? If all the "well thought out" candidates always end up betraying you, breaking their promises and throwing you under the bus, why vote for that? Half of American voters have become contrarians and just want anything but the same old empty promises and empty rhetoric, even if it frikkin' kils them. They know something has gone horribly wrong and they don't know how to fix it, so they are voting for the person lashing out. Same story in Brexit. Unchecked Corruption is the problem, as I said. – Amadeus Jun 11 '17 at 18:01
  • 1
    @Amadeus It doesn't make sense to vote for a compulsive liar who's made countless near-impossible-to-keep promises to get away from liars who break promises (i.e. it's not intelligent). Although I think the political system in the US (and probably most other countries too) is fundamentally flawed - it also doesn't make sense to vote for one person (or even a set of people) to make so many decisions in so many areas for you, never mind doing so while there isn't an easy way to hold them accountable for what they've done. Neither intelligent voters nor addressing corruption does much about that. – NotThatGuy Jun 11 '17 at 18:19
  • 6
    @NotThatGuy On the contrary; intelligence requires sight beyond the immediate consequences; or nobody would ever get surgery: It hurts! It disables you! But temporarily. Voting for a moronic buffoon and compulsive liar that breaks the system at least has a chance of reforming that system when it has to be repaired; whereas voting for a status quo, boring candidate has zero chance of leading to reform. Making things worse temporarily in the hope that will make things better in the long run can be intelligent. Like quitting a job without another lined up: It forces action, now. – Amadeus Jun 11 '17 at 19:49
  • 3
    @Amadeus I don't disagree, but I'd be extremely surprised if even 1-2% of voters followed that line of reasoning. – NotThatGuy Jun 11 '17 at 20:08
  • Ah, my old nemesis order effects, we meet again. – Pharap Jun 11 '17 at 21:07
  • @Amadeus Brexit was more complicated than that. There were many different reasons people chose to vote one way or the other. Some people voted because of how it affected their job (scientists voted remain because they got funding from the EU, farmers voted leave because they were fed up with EU red tape making their job harder), some voted because they wanted change or wanted things to stay the same, some people voted because they like/dislike multiculturism etc. There undoubtedly were people who voted just to go against the politicians, but they weren't the sole reason for the result. – Pharap Jun 11 '17 at 21:20
  • 2
    @Pharap I did not say it was the only reason, I said it is not necessarily a stupid reason to vote for a clearly unqualified, duplicitous, lying candidate. When voting for the "lesser of two evils" seems to produce an unbroken chain of increasing evil, the only way (for a common voter) to break that pattern is to not vote at all, or to vote for the greater evil, in the hope of shaking things up. I think many in the USA and UK felt that way, and (perhaps intuitively) decided to try and break the pattern: The reasons they gave may sound plausible, but it could really just be frustration. – Amadeus Jun 11 '17 at 21:33
  • 2
    If you got rid of people who score high on sociopathy test from politics, there would be no politicians left in almost any country. Even just sorting out psychopaths would probably leave a decent dent. Of course they would soon learn how to cheat the tests. The trouble with pretty much all standard form psychological tests is that they can either be learnt or aren't predictive. Usually both. – DRF Jun 12 '17 at 09:31
  • @DRF recently shown brain scans (fMRI) can be highly predictive of psychopathy; they can't fake emotions [brain responses] they don't have. I'll agree a written test is insufficient and we'd need something that involves more human judgment. – Amadeus Jun 12 '17 at 09:49
  • Also, most IQ tests are created by men and they are slightly biased by the male thinking, therefore females usually get a bit lower scores. Creating unbiased IQ tests is really really hard. IQ is hard to define objectively. Two different IQ tests can produce very different results. Most political votes are highly emotional anyway. The same as religion, political opinions are often "hereditary", that is, copied from parents. – Sulthan Jun 13 '17 at 15:13
  • 1
    I was thinking this was a good answer until you mentioned "lie detection". You have some lacunae in your knowledge if you think that is a real thing... – Oscar Bravo Jun 16 '17 at 08:36
  • 1
    @OscarBravo Read my comment 2 above yours; fMRI brain scans can distinguish sociopaths/psychopaths by their lack of emotional activation. That tells you if they are lying on this specific test for psychopathy, which is the only thing that matters for this application. It is not a generall lie detection we need, but a specific one for whether a person feels sympathy or empathy, and they can't fake the electrochemical emotional response because their brains are faulty and and incapable of that, just like a paralyzed person cannot fake movement. No lacunae; at least on my side. – Amadeus Jun 16 '17 at 09:46
  • You should look through the scale you offer. Some metrics are pretty transparent proxies for poverty (and race) or orientation, some are so subjective they're mostly measuring whether the evaluator likes the subject or not. fMRI scans are no silver bullet either - if you can show activity in the brain of dead salmon, you can justify any conclusion with right methods. Sure, being tough on others is natural and shows you are a good tribesman, but if you'd regret giving gay-detectors to 19th century people, maybe 22nd century people might regret us having some other-detection tools. – Daerdemandt Jun 18 '17 at 04:15
  • @Daerdemandt I don't think we should let dead salmon run for office. :-) Psychopathy is not IQ, we can identify specific structural deficits in the brain. Like any test (or criminal trial) it could have false negatives (a psychopath is allowed to run for office) and false positives (a normal person is prevented from running), but those consequences are nowhere near those of a criminal going free or an innocent person being criminally convicted. Yet our society accepts those outcomes on the grounds that if mistakes are rare we are still better off, on balance. The same argument applies here. – Amadeus Jun 18 '17 at 10:36
  • Again, if you can use the method to prove obviously false statement then the method sucks. Some researchers would adopt more rigorous methods. Some would keep amplifying the noise and creatively interpreting it. Guess which ones would work in evaluating candidates? I agree that IQ test for vote eliglibility wouldn't be good in the wild, but I don't see how your proposal is different from that. – Daerdemandt Jun 18 '17 at 13:48
  • 1
    @Daerdemandt Mine is different because I am not trying to judge whether they will be smart, but whether they can be trusted to act in the public interest. A politician can be both smart and an utterly self-serving sociopath that cares nothing about other people or their pain. Erring on the side of caution and ensuring politician's brains do react normally in all respects to images of pain and suffering (regardless of what they say or their faces express) is a different test; and isn't just a random "measurement" of a dead salmon, but a specific pattern of reactions over time. – Amadeus Jun 18 '17 at 13:54
65

If you're giving everyone exactly as many votes as their IQ - the effect on the actual vote doesn't appear to be very much at all. See the below table for a population of 100 million to illustrate - the vote share for IQ 120 + is slightly higher than with a normal democracy, but the fact there are exponentially fewer people in these higher intelligence brackets means that the linear multiplier on their vote weight has less and less of an effect. See below for a rough idea of the vote share for each IQ demograph, split out by ranges of 10 IQ points.

enter image description here

(IQ is maxed out at 150 here according to your specification - you can see though that even if it wasn't, the over-150s wouldn't make much of a difference at all)

(additional info removed - I double checked and I made a mistake)

danl
  • 1,715
  • 10
  • 16
  • I can see that this has little over all effect, but it does mean that it's slightly bias toward the top of 'whatever scale' you want to apply thanks – JamesD Jun 09 '17 at 15:01
  • 8
    The vote itself might not change that much (I don't know if this is for certain and I argue it depends on for example the voting system - could be very significant for example in the US), but please consider the social implications. Different social groups within a country, for example in the US often reduced to a race problem, have sometimes vastly different IQs. Giving different social groups different amount of vote might very well cause many significant changes to a country if they don't react well – Raditz_35 Jun 09 '17 at 15:04
  • 4
    @Raditz_35 The vote may well change, I guess the point I'm making is that it's not as though you're suddenly handing the majority of the vote to the super IQs - they're too sparse in number to make much of a difference by themselves. They do make a difference, but it will be more a matter of tipping marginal votes over the edge, rather than completely outweighing the lower IQ votes – danl Jun 09 '17 at 15:12
  • 3
    You are making a very valid point, but it is all under the assumption that nothing else would change. Just because you have to let someone know that you "only" have an IQ of 103 (oh god, what if he knows me?) might significantly alter who shows up, who doesn't bother anymore and so on. Even just having some chip card scanned could be frustrating. Also politicians are not really as smart as you are - they would ignore this and try to get the higher IQ people. I think everything would change - even the IQ spread in such a society given the same tests. – Raditz_35 Jun 09 '17 at 15:26
  • 3
    I wonder how IQs correlate with active voters? Are higher IQ people more or less likely to vote than average or low IQ people? – CaM Jun 09 '17 at 15:44
  • 9
    @CM_Dayton: Here in Austria at the last elections (presidential elections) 81% of people with a university degree (I assume that correlates with higher IQ) voted while only 63% of people with minimum compulsory education did (source). Total average was 72%. – Michael Jun 09 '17 at 16:25
  • @danl Sometimes tipping the scale of marginal votes can make a big difference. In recent years there have been many cases where there has been ~2% difference between one result or the other, meaning if just ~1% had voted differently, the result would have been the opposite. – Pharap Jun 11 '17 at 20:59
  • @Michael Personally I wouldn't necissarily correlate degrees and intelligence. There are plenty of flaws in the way the education system tests people, and the tests are about knowledge of a topic, not general intelligence. A person could be as thick as two short planks but still have a degree in carpentry because they really love and happen to be good at carpentry. – Pharap Jun 11 '17 at 21:06
  • @Pharap: Yes, I know and agree. But it’s the next best common statistic for elections. – Michael Jun 12 '17 at 11:29
  • 1
    Your chart doesn't show that the effect will be small. A 10% swing in the total votes earned would switch many elections in the developed west; so a 10% effect should be counted as large. As you have observed, there isn't much effect from the 150+ IQ people; but how large is the effect from the 90-110 IQ people? – Yakk Jun 12 '17 at 17:32
  • 1
    @Yakk I'm not sure you've quite thought that through (or maybe you don't mean what it sounds like). Yes, a 10% swing is significant, but in this model, the difference is that For IQ 110-120, a 10% swing by popular vote would become an 11.5% swing when adjusted for IQ, whereas for IQ 80-90, a 10% swing would become a 8.5% swing when adjusted for IQ. So in this sense, a 10-15% effect is significant enough that it could make the difference in some elections - but it's not the same as swing. The effect amplifies the swing, it doesn't create it – danl Jun 12 '17 at 20:27
  • 1
    @danl So you don't understand. Suppose we had an election with 40%/40% support, with a 3% swing vote that goes either way. Depending on swing vote, either party wins. As it happens, the average IQ of the supporters of the first party was 105, and the average IQ of the second party was 95. Now it becomes 42%/38%: the swing vote is no longer large enough, one party always dominates. Basically, it is the mass around 100 which can have a large effect on election results, large enough to disenfranchise a huge percentage of the population. – Yakk Jun 12 '17 at 20:34
  • 1
    @Michael and this might actually amplify with IQ-dependent votes, because of the actual loss in value of low-IQ votes. In the end, the people with lower IQs might feel even more disenfranchised and rebel, even though the nominal effect might be small. – Chieron Jun 14 '17 at 15:41
59

This has been attempted in the US as a form of voter surpression by proxy. Actual examples of the test are available online (one example from Louisiana is here). As you can see from the sample below, it is actually a typical IQ test of "puzzles".

enter image description here

Failing one answer meant failing the test. You had only 10 minutes to complete all 30 questions, and the first several minutes would be wasted attempting to make sense of intentionally serpentine sentences. In many cases there was no correct answer, or instructions may be interpreted several ways thus allowing the tester to arbitrarily declare the answer to be wrong.

The test of course was never intended to actually discern literacy. It was just a pretext for voter suppression. People who were assumed to be "educated" (code for white) would not have been asked to take it. The test was a proxy pretext used to suppress African American votes during the Civil Rights era.

The law claimed to serve a noble purpose that many people would agree with (literacy), while in practice served a gatekeeping agenda that many of the same people would not openly agree with (racism) but were happy to accept the outcome anyway.

In the end, any system that works to remove voters from a democracy is a form of voter suppression and problematic. A recent SCOTUS decision has stated that gerrymandering by political party looks exactly like voter suppression by race. Each could be a proxy for the other.

If I have to explain it: someone is trying to game the system to their advantage. There are no noble reasons to try to prevent part of your population from voting. They can't win unless they suppress votes.

wetcircuit
  • 9,447
  • 1
  • 32
  • 59
  • 15
    "any system that works to remove voters from a democracy is a form of voter suppression" is a tautology, but how about Heinlein's idea of earning the right to vote by some form of public service? – WGroleau Jun 09 '17 at 17:20
  • 13
    @WGroleau in the real world there are thousands of gatekeeping opportunities. ie: military service has traditionally rejected women, gays, and lesbians, and continues to reject trans people. Also reject obese or anyone with a heart defect, asthma, or otherwise disabled, none of this has anything to do with voting. A criminal record is also an excuse to reject and we have plenty of evidence our justice system favors preserving a pristine record for some while punishing others, so it's a faulty metric…. Do you also advocate no citizenship rights by birth? Might be hypocritical if you don't. – wetcircuit Jun 09 '17 at 17:44
  • @wetcircuit I find Heinlein's idea rather good (I'm a fan of military SF, but no fan of military). Those who don't qualify for military service could do some other public service if voting is that important for them. But I guess, it should work the other way round: Those who proved they care are more likely to vote in a way good for the society. I find jus soli a funny idea, but fail to see how it relates. – maaartinus Jun 09 '17 at 18:58
  • 1
    @wetcircuit I don't understand the details of "your system" (USA, I assume) but in the UK it is certainly logical that criminals in prison should not be allowed to vote, otherwise they are effectively choosing who has the ultimate control over their own punishment. The criminal justice system (the courts, etc) is independent of parliament, but the prison and probation services are not. – alephzero Jun 09 '17 at 19:02
  • 1
    FWIW for Heinlein's idea you can make it fairly workable (EG do away with the gatekeeping) by simply giving anyone disqualified from service the vote as well. Military won't take you because you're Trans? Well then you get to vote without having to do service. – aslum Jun 09 '17 at 19:11
  • 6
    @alephzero, i don't think anyone can vote while incarcerated, but some states take away their vote for life even after their debt is paid. Maybe it is coincidence these are states that have a long history of racial injustice and voter suppression, but probably not. In reality, you are 50x more likely to be arrested, 10x more likely to do time, and state wants to take away your right to vote forever – guess which race you are. With enough data, voter suppression becomes surgical. SCOTUS gerrymandering decision https://electionlawblog.org/?p=92675 Proxies (IQ, criminal rec) are used in US South. – wetcircuit Jun 09 '17 at 19:16
  • 4
    I didn't say I endorse Heinlein's idea, but it's certainly better than an IQ test. In the novel, the question of being rejected for military service was not mentioned. I said "public service," not "military service," because things like Peace Corps and VISTA also qualified. – WGroleau Jun 09 '17 at 20:03
  • 4
    Well yes in fiction we can fix just by saying so. I am all for 2yrs civil service but in reality any goal other than universal suffrage will advantage the already privilege and make the already disenfranchised the losers. You can swap out any disenfranchised group and find a history of rights suppression. Notice no one is ever saying "Since these people are disadvantaged, let's give them MORE votes." LOL Where we insert gatekeepers we start to see abuse of authority. It is human nature. The disenfranchised always lose, and what could be worse than having a low IQ? You are a victim to everyone. – wetcircuit Jun 09 '17 at 20:47
  • 3
    In Heinlein's system, if you wanted to serve to earn your franchise, then the military was obligated to find something for you to do ... You're a blind and deaf triple amputee ,,, we need a study to counting fuzz on caterpillars by touch. – pojo-guy Jun 10 '17 at 06:15
  • @alephzero In US the system is accused with being racially biased and the enforcement of drug laws is accused as being uniformly applied. Combined with history of problematic law (see above) it makes the case for being suspicious. For summary of arguments see for example "The New Jim Crow". – Maja Piechotka Jun 10 '17 at 06:17
  • 9
    @aslum You can make it unworkable by other means. For example with military service - what about people who are pacifists or doves [you systematically reject parts of population]? You can make certain groups preferred - to use example of Trans rejected from military service - sure you can have an alternative service - in gold mine in Kolomyia (for those not familiar with Stalin gulags - it was death sentence) so you can either resign or die. Not mentioning those who have family (or otherwise) responsibilities so they cannot take a 'gap year' in military - you favor certain well off people. – Maja Piechotka Jun 10 '17 at 06:29
  • 1
    We only need to see WB-SE as an example of over-active gatekeeping. This thread was put on hold (why?) and now re-opened (why?), sometimes I think ON HOLD is compulsive reaction here.... If you put obstacles in the way of voters you will get arbitrary voter suppression. If you allow anyone to interfere in other people's rights you will get rights violations. High IQ or not, people will impede or block anything they are uncomfortable with. Give them a button that can prevent me from voting and I'll have to fight every person I come across for basic rights. No coincidence: http://bit.ly/1ofvouJ – wetcircuit Jun 10 '17 at 13:08
  • @pojo-guy, thank you. I was going to add a similar comment if you hadn't already. – A Bailey Jun 12 '17 at 13:28
  • 1
    @alphazero: FWIW, in Germany you can vote while incarcerated, unless that right was explicitly revoked by the judges for offenses like treason or electoral fraud. So taking away your vote is not so "certainly logical" at all (unless you claim Germany being dysfunctional as a political system, which is somewhat of a long shot). ;-) – DevSolar Jun 14 '17 at 14:36
  • 2
    This is the right answer. US history has already shown that allowing the government to pick its own voters is a power it can't be trusted with. – T.E.D. Jun 15 '17 at 14:31
  • This test is just an example of how a system can be abused, and not whether it would be good or bad to tie voting to literacy (surely a more fair literacy test could have been chosen). By this argument, elections themselves should be abolished because one might abuse elections fraudulently. – vsz Jun 17 '17 at 11:19
  • It seems someone didn't have a valid counterargument against the comment above, and the only way to show dissatisfaction with it was to go and downvote every question and answer I ever asked, a few moments after I wrote the above comment. Cue to how any system can be abused. – vsz Jun 17 '17 at 16:24
28
  • Cheating on IQ tests. Like faking sickness, but for intelligence...
  • Candidates focusing on smart people to get more votes
  • Adding to tension between smart/not-so-smart people
  • Thus, putting oil on the fire about the intelligence debate
  • High IQ candidates would be more likely to win, perhaps at the expense of high EQ or more grounded candidates

Let's not forget that there way more normal IQ people than high IQ people. So, we would have some kind of smart elite, against the 'normal' majority.

But the main issue with this system would probably be the perceived injustice. In fact you would need 10 persons with 130 IQ against 13 persons with 100 IQ, so the advantage isn't that huge.
But people would perceive an injustice independently of its proportion, when, given their number, they would far exceed the voting power of high IQs.
Then a anti-IQ candidate would show up, obviously win, and abolish it.
Then high IQs would just end up despised, I guess...

Oh, and my answer should get the most votes people, my estimated IQ is 134 ! (just kidding please don't hit me) :p

  • 13
    estimated 134. IQ in the real world is meaningless. Depending on which test you want to believe, my IQ is 122 or 140 or 191. How many standard deviations is that spread? Five? – WGroleau Jun 09 '17 at 17:16
  • 4
    @WGroleau +1 IQ point for standard deviations. – Marshall Tigerus Jun 09 '17 at 17:28
  • Yeah I mostly said it for the joke anyway. I took one when I was 6 to know if I could 'skip a grade' (don't know if they have the same system in the US, I'm french). I didn't even keep the documents, but I think the standard deviation was 15. –  Jun 09 '17 at 20:19
  • 1
    The injustice part could be worked around if it's a long established system. People will even defend an unfair system if it's part of their culture. For example see how the presidential election in the US works: votes from some states have less influence because they have less electors per voter, but changing it is a taboo. – Chris Jun 11 '17 at 21:20
  • 1
    IQ tests aren't meaningless; look at any of the studies that show what correlates heavily to IQ. However, it is complex and variable, and the tests have a wide error margin. Twenty point swings are common. (And beside the point, one thing that I don't think correlates to IQ is ethics, and that's a strong consideration when voting.) – Ask About Monica Jun 12 '17 at 20:48
16

Your problems are as follows

  1. All tests are biased
  2. All tests can be gamed
  3. IQ changes over the course of one's life, especially in childhood and adolescences (where most testing would tend to occur.)
  4. IQ is influenced by nutrition, education, chemical exposure and drugs. This means one group could suppress the voting power of another group by physical means. An additional bonus is that by suppressing the other group's intelligence, the power-group blunts any competition.
  5. Smart people can make really dumb decisions. Groupthink, echo chambers, confirmation bias and the like are all common plagues of smart people.
  6. There is no system that can't be manipulated by a motivated actor with resources. Political power is a highly-addictive drug for which junkies will spend their life pursuing.
Andrew Neely
  • 4,222
  • 12
  • 22
  • 2
    If one group is willing to suppress voters with chemicals depriving food or education it may be simpler to just take their vote away. – PStag Jun 10 '17 at 12:21
  • 1
    It's easier to control people if the chains that bind them are not overt and obvious. Chemical exposure can be incidental (i.e. subsidizing lead-based paint instead of less toxic alternatives in areas where the elites would like to suppress the IQ.) In many areas of the world, the nutritional gap between the upper class and lower class is massive. Slight intentional manipulations can exacerbate this. – Andrew Neely Jun 12 '17 at 15:45
9

There are a wide variety of issues with IQ-based voting systems.

First of all, there's absolutely no basis to think that IQ based voting system would in some way be superior, even if it worked as designed/intended, for a variety of reasons.

  1. In practice, there's plenty of high-IQ people who hold awful political ideas. Tons of high-IQ people supported (pick your own awfulness from the list based on your political biases): Lenin, Mao, Hitler, Carter, Bush, Trump, Obama, Bin Laden, ISIS, Ghengis Khan, Holy Inquisition, human sacrifice, slavery, genocide, socialism, eugenics, nazism, etc... High-IQ people developed and supported the concept of using nuclear weapons, the concept of preemptive nuclear strike and the concept of MAD.

  2. If you go beyond subjective politics and try to find explanation for the above, you find an interesting and disturbing point. The more intelligent someone is, the better they are at motivated reasoning (which is an endlessly fascinating field of study, which mostly can be summed up as "people are gonna believe what they wanna believe and there's little that can be done to change their mind")

    See this study for the 'higher IQ' evidence. Or, to quote From Daniel Kahan's study "Ideology, motivated reasoning, and cognitive reflection":

    On the contrary, subjects who scored highest in cognitive reflection were the most likely to display ideologically motivated cognition.

    For more details on motivated reasoning, I would recommend a recent series of episodes on "You're not so smart" podcast.

  3. People with high IQ are not guaranteed to be experts at picking political leaders. So, in representative democracy (instead of direct issue voting) IQ is not that relevant.

    Even assuming the (wholly incorrect, as per previous point) assumption that somehow, high IQ can lead to "correct" positions being taken by voters, that doesn't translate into picking "correct" politicians. Obama hoodwinked a whole lotta progressives (including high-IQ ones) into thinking he'll establish their utopia (as well as whole lotta conservatives afraid of the same). Instead, from him, they got TPP, Wall Street bailouts, support for Hillary over Bernie in 2016, wars in Afghanistan, Lybia and Syria; drone bombings; NSA ubiquitous spying; and more illegal deportations than under Bush. Trump hoodwinked whole lotta voters that he'll build the wall, deport tons of illegal aliens (he deported less than Obama did), drain the swamp, move the Israeli embassy to Jerusalem, repeal Obamacare, etc... So far most of the promises he made didn't pan out for his voters.

    I won't even go into high-IQ support for genocidal psychopaths listed in bullet #1 above.

  4. Issues that require resolving are frequently beyond understanding of any single person, even with 110 or 140 IQ; unless they spend their life studying them.

    Having high IQ doesn't mean you know jack U&*t about economics (as many high-IQ marxists prove). What makes you think non-economist with high IQ would be good at voting for the right people/issues when it comes to economics?


Second, as other answers noted, IQ may not be a very good measurement at all.

  1. Typical IQ "g" test measures pattern matching and sometimes problem solving.

    It doesn't measure emotional/social IQ (required to correctly understand politics, which in large measure is just psychology and social interactions).

  2. There are many and varied criticisms of IQ testing in general, covered in this Wikipedia article

user4239
  • 4,727
  • 1
  • 19
  • 42
  • You tempted me to read the study of Kahan. It is too far reaching conclusion. All the data show - people who failed those trivia puzzles, were less likely to consider them as invalid indicators of anything. While those who clearly scored well, hoped that they indicate that their "tribe" got it right too. – Shadow1024 Oct 03 '19 at 08:59
8

So, in your scenario, all people are not created equal (under the law), all people do not have the same civil rights. Your statement that "real high" IQ is inaccurate is sad. ALL IQ measurements are inaccurate. For instance, one study showed that African-Americans taking a standardized test dropped (on average) by 10 points when the top of the form asked for both name and race compared to forms only asking for name. You simply can not create a single test to test the IQ of people who are in different families, traditions, cultures, of different ages and interests, and who speak different languages. How often do you test for IQ? All adults (all voters) once a year? Cheating will be pervasive. Corruption endemic. Finally, if the government values a person with an IQ of 120 more than one with an IQ of 119, then shouldn't an employer be able to use IQ to determine salary (and even whether or not a person gets hired (or fired))? Why not? Anyway, the basic notion of a democracy is the "social contract" in which we, the people, agree to abide by the results of the majority vote (in most cases), as any other method of public decision making is unfair. How is a system which requires 40% of the vote to determine 100% of the result fair?

Ali Baba
  • 89
  • 1
  • 2
    I'd like to point out that neither pure democracy nor representative democracy are necessarily fair, either. As far as I know every form of government is unfair in some regard. Regardless, you make some good points. +1. – MozerShmozer Jun 09 '17 at 15:53
  • 3
    "all people are not created equal" They never have been, and they never will be. Being created equal is not the same as being treated in an equal manner by others. – alephzero Jun 09 '17 at 19:10
8

Rebellion

A very likely issue of high-IQ (smarties) having more authority than low-IQ (dumbies), is that the dumbies would be very against the system.

People have a fairly solid idea of how they are financially, but even so a lot of poorer people would like to take down the "1%"

People do not have a solid idea of their intellect, most people think they are smarter than average. To be told that you are in the bottom 20%, that your contribution is not very significant, would be either depressing or enraging.

A similar idea is covered in the book Windsinger, where your job, house—everything is determined by your score in annual exams. It ends up in a huge class gap between smarties and dumbies, which breeds all the hatred, contempt, etc.

Mirror318
  • 3,809
  • 1
  • 11
  • 17
  • 1
    Nice answer, but I would recommend not using terms like "dumbies". – Robert Columbia Jun 12 '17 at 13:17
  • 4
    @RobertColumbia indignation at terms like "dumbies" is the very point of the answer—and whatever the leaders would want, the majority will end up on crowdsourced nicknames like this (probably more vulgar versions) – Mirror318 Jun 13 '17 at 01:01
7

It may potentially exaggerate socioeconomic stratification, as the wealthy who have access to more education would get a greater portion of the vote. This may lead to policies which increase the wealth gap.

This is dependent on what the education system is like in the country you are creating however. equal access to education would reduce this issue

But for that matter the difference in IQ is not that extreme.

Firelight
  • 819
  • 6
  • 15
6

I have observed that IQ has effectively no correlation with candidate or party voting. I will explain the reason by analogy:

About 10 years ago there was a study of Windows users that found no correlation between IQ and use of IE or Firefox as a web browser. A couple of months later a deep analysis study was ran and found a strong correlation between accuracy of risk assessment and use of Firefox.

It turns out IQ isn't what you want to measure and what you want to measure is patently unfit for political measurement. A few cut-off-the-lower-end measurements work but not much else.

Joshua
  • 1,695
  • 10
  • 12
  • 1
    So just give Linux users two votes and Apple users three. :-) – WGroleau Jun 09 '17 at 17:22
  • 2
    The Q asked for issues. Can you explain what “issue” this is? (Maybe you’re interpreting the word differently than how I read it) – JDługosz Jun 10 '17 at 08:14
  • @JDługosz: the issue is it basically doesn't work. – Joshua Jun 10 '17 at 19:52
  • 1
    @Joshua - you're assuming that it's intended to produce some particular result in terms of objective desirability of the outcome. This may well not be the case; it may simply be that such a system is instituted in order to make the "smart" people feel better about themselves, or to as a means to suppress a minority (as demonstrated in wetcircuit's answer above). – Jules Jun 16 '17 at 11:23
6

When you disenfranchise a section of the population you remove any incentive the government might have to provide them with services, support, or even basic justice. If you live in a democracy and write to your representative then you can expect to have your concerns taken seriously. If a lot of people write in about the same topic then they can actually shift policy.

But if you are one of the disenfranchised then your concerns don't count. If you get treated badly by the government bureaucracy then nobody is going to come to your aid. So you will get a situation where, in any conflict between a voter and a non-voter the voter always wins: for instance the police and judiciary will accept a voters word over non-voters. If there is a planning conflict its the voter who gets to build his house where he wants. When hospitals and schools are being funded, guess where the money goes. And so on.

Of course your proposed discrimination on IQ points doesn't totally disenfranchise the low-IQ, it just reduces their electoral clout. So the result is a toned-down version of the same thing.

This creates an underclass who are getting the short end of the stick and know it, but they can't do anything about it within the system. This leads to crimes of poverty, frustration and hopelessness. Then riots. Then revolution and/or civil war depending on how things play out.

Paul Johnson
  • 769
  • 4
  • 5
  • 2
    John F. Kennedy: "When you make peaceful revolution impossible, you make violent revolution inevitable." On the other hand, one might think that "smart people" would realize this and take steps to placate the oppressed. For example, offer them tax breaks that in reality only benefit the rulers. Like we do now in USA. :-) – WGroleau Jun 09 '17 at 20:14
  • 1
    Seriously, the alleged purpose for the founding of Mensa was to lobby for ways to get more intelligent people in places of power. I joined but dropped out because if the writers of their publications are representative, they're a bunch of pompous blowhards. Not the sort of dingbats I'd want making public policy decisions, nor the sort of people I want to be identified as. – WGroleau Jun 09 '17 at 20:15
6

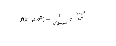
Due to the rules of question protection, user J doe at ~50 rep is unable to answer. He pointed this out in chat and gave me permission to re-post his answer onto the question.

IQ follows a gaussian distribution, such that:

enter image description here

With μ being the mean, σ the standard deviation and x the IQ. In your case x is defined in the range [50:150], and we will take μ as 100 (average for the American population) and SD=15 which is standard for Stanford–Binet test or Wechsler. If you plot this function it should look like this:

enter image description here

This way you can estimate that there is ~2,5% of the population with IQ=100 and if you want to know the IQ for the range [90:100] you can integrate the function from 90 to 100 and you will get ~25% of the population falling under this range.

If we use your voting system as IQ = voting points, your system will therefore return ~2500 points for IQ=100 over a population 1000 individuals and if we now use a specific range like [90:100] it becomes interesting: you get ~25000 points. If you compare with the range [120:150], which is larger (in terms of ranged values) and describes the “smartest” individuals, you only get ~14056 points (I did the calculation for you). Essentially because, as @danl pointed out there is less and less smarter people as you group (and count) them depending on their IQ.

Therefore you can conclude that for example in a bipartisan IQ-based point system, although based on an elitist mechanism (the smarter the more points you get), this system would be actually (and counterintuitively) very democratic, or Aristotelian if you will: to the “normal” people, the power. Note, however, that if a large enough part of the “less smart” and a large enough part of the “smartest” could regroup their votes, they would outweigh the “normal” people votes… (range [50:90] and [110:150] vs [90:110]…)

This gets into math that my makes feeble imagination brain-box smell like burnt toast, so if you have any question, ring @JDoe

TrEs-2b
  • 56,200
  • 37
  • 215
  • 437
5

I am not sure how current IQ test is created, but Wikipedia stated that IQ is the result of mental age score divided by real age. So the younger you are, the higher your IQ, even though your mental age is the same.

So, in this world, the vote of the old people is worth less, and young people is more. Some may think this is a good thing, as they dislike the conservative tendency of old people. Personaly, I value the wisdom of the old, and doubt the impluse of the young. There are good reason that most politican are not young.

Edit: JamesD mentions that new IQ test has normalized between age difference. That invalidates my answer.

DTN
  • 555
  • 2
  • 10
  • No, it's not about being younger, it's about being in advance compared to your age (kinda) –  Jun 09 '17 at 14:45
  • 1
    @NathanCoustenoble In IQ, the young always have an edge over the old. But they surely do not have the old 's wisdom. – DTN Jun 09 '17 at 14:47
  • Agreed. Just saying IQ isn't all about being younger. –  Jun 09 '17 at 14:51
  • -1 because this is completely false and I'd love to see where Wikipedia actually says this - quote please.. – danl Jun 09 '17 at 15:02
  • I take that back - it does kind of say it - please clarify though, that it's your mental age SCORE divided by your age - mental age score does not = mental age, at least not to everyone – danl Jun 09 '17 at 15:06
  • @danl I think the only way to measure mental age is to convert it to a score. Fixed. – DTN Jun 09 '17 at 15:13
  • 2
    yeah - I apologise for reacting as I did and assuming it was wrong to start with. What I do know about IQ is that it's not really an objective figure, generally 100 = the average for whichever society you're measuring IQ for (not always defined this way but usually). The implication of it being worked out as simply as mental age/real age, is that mental age depends on the society you measure it in. This didn't seem right which is why I assumed it was nonsense. Clearly it's not - the addition of "score" at least clarifies that it's a subjective measure – danl Jun 09 '17 at 15:21
  • 1
    I forgot where I read it, but it turns out there are race issues and also some other factors and odd effects with IQ tests- such as a 10 pt jump in the score depending on motivation. I'm sure a little research will yield plenty of issues on using IQ. There is also the issue that an IQ of 100 is normal and healthy. And there are other issues you may add to your answer, such as how do you account for generational differences in intelligence? – PipperChip Jun 09 '17 at 15:23
  • Mental age - normal age definition is obsolete. How would you rank elderly that way? Today, there is generally normal IQ 100 which is for the population at large, and there are also renormalizations for younger ages - that's why we have so many children with IQ above 100, while they are still nowhere as smart as adults. – Alexander Jun 09 '17 at 18:15
  • @DTN "But they surely do not have the old 's wisdom" - Exactly. Raising the minimum voting age to say 50 would be a better idea than trying to invent an IQ based system IMO. – alephzero Jun 09 '17 at 19:07
  • you have read only the first part of the page for the 'ratio IQ' this is indeed calculated as you suggest, however current scores are calculated so that at each age you have an average of 100 points. – JamesD Jun 13 '17 at 12:11
5

All the problems already mentioned by other people plus:

Intelligent does not equal smart. I know several 140+ people who have a lot of trouble operating in the real world. If you took them off campus where they live, they would not be able to survive. They would be making decisions based on theoretical optimums that would be less and less relevant over time.

Now, if you were able to create an unbiased test that tested decision making over puzzle solving, you might have something. However, good luck on it being unbiased, who is going to decide which decisions are the best ones?

ShadoCat
  • 19,721
  • 27
  • 68
5

You would have some protestors complaining about the test being racist, classist and/or sexist.

Perhaps a lot of people would accept the system, especially if it's been in place for a long time, but not everyone would like it. It would not be easy to make a system like that truly fair.

  • Since people with low test scores tend to have different kind of jobs than people with high scores, then the electorate will be biased against some industries, and biased towards bosses rather than labourers. Some trade unions will campaign against it.

  • Some studies have shown that girls test better when there are no boys in the room, and African-Americans test better when there are no whites in the room. The testing system might be biased against people who have been made, psychologically, to feel inferior even if they really do have the mental capacity to do well in the test.

  • Communities with low scores will be given less school funding by politicians, and then the next generation there will have low scores because they went to bad schools. There will be bitter complaints about this, especially if it seems to correlate with the politicians' ethnic prejudices.

  • If there is a mathematical or spacial concept which is modelled differently​ in the grammar or idioms of one ethnic group, then using that concept in the test could introduce an ethnic bias. Possible in any test, but twice as bad if the questions are written in sentences. Examples:

    • One dialect uses double negatives to make a sentence extra negative, another dialect uses double negatives to form a positive.
    • One community thinks of the future as being ahead of you because that's where you're going, another thinks of the past as being in front of you because you can see the past and not the future.
Robyn
  • 3,886
  • 15
  • 19
  • Interestingly, you addresses the consequences of the perception of the biases that the system would introduce, but not the consequences of the biases themselves. Addressing them would greatly improve the answer. – Kolaru Jul 24 '18 at 18:30
4

Ok i would like to add a dimension to the overall discussion. Namely:

How do you weight the IQ?

See the iq test does not tell you how many more votes a smarter person should get. How do you decide this. As somebody noted givin people one vote per IQ wouldnt make much of a difference but giving a person 10 votes for each point above an IQ of 100 and 1 below 10 would.

But by doing something like this you would soon figure out that you are just in fact having a voter suppression scheme. See you should recognize that:

a) IQ is an arbitrary measure

b) It has an arbitrary scale

A person with an iq of 120 is nor 20% smarter than a person with 100 we dont even know what it means, not really. So if you could put human inteligence on some absolute scale with 0 being as intelligent as rock. You might find that indeed a normal person is within 1% or less of the smartest one. meaning that the variance is nonimportant. Or it could be huge. We do not know.

So in the end your system would just be an arbitrary feature and as such no different from any other oppression sceme hunankind has come up with.

joojaa
  • 743
  • 4
  • 12
4

One issue with this system is that it eschews the whole purpose of democratic government. We do not vote to find the best leaders - this obviously doesn't happen. We vote to get a government which is acceptable to the majority of people - though admittedly, this also doesn't always happen. By discarding the one man, one vote principal you break the system. So your world's governments would likely be even more unpopular than ours. This applies when you weight votes by any measure.

Because you're weighing by IQ, there would be a large subset of the population that is excluded not only from government but also from the economy. One would expect this group to be angry and rebellious, but unable to find a peaceful way to improve their lot.

Assuming this system has been stable for generations, that would mean this group has been successfully subdued by the ruling intelligencia. Either the high IQs willfully make concessions to the low IQs, thus undermining the apparent purpose of the system, or there would be a subtle authoritarian element to your seemingly enlightened world, with dissent consistently suppressed.

Michael W
  • 41
  • 2
4

Richer people usually get better educations, either because the parents pay for the child to go to a better school or because better schools exist in more affluent areas; thats the way things work in the UK at least. Thats not to say ever person who gets a high IQ comes from a rich background but on average more do because their brains are trained better. By giving more votes to people of higher IQs, your giving the rich more power than the poor (overall, there are obviously exceptions) which means that laws are more likely to favour the rich and parties that favour the rich will do better. Also, people with difficulties not may be represented well enough because they may have a lower IQ and so laws passed may not give these people the attention they need.

Matthew Cockram
  • 377
  • 2
  • 9
  • 1
    Indeed I had not considered that perhaps people with learning disabilities or other issues would be under represented – JamesD Jun 14 '17 at 21:43
  • @JamesD It is way deeper than that. If the IQ is not distributed uniformly across the different social classes (and it has been observed that in most current society it is not) then the system you propose introduce a systematic bias. This bias may perdure and snowball over time (e.g. more funding to give better education to social classes already scoring better in average) to radically change/stabilize society in a way that strongly favor those social classes. If you are interested in more details I could try to produce a full-fledge sourced and based on sociological researches answer. – Kolaru Jul 24 '18 at 18:27
3

Intellect is qualitative and not quantitative. People with a high IQ can be autistic spectrum, and can read 100ds of books about social science and psychology, and yet be much less performant socially than people with normal IQ, i.e. aloof/rash. Instead of IQ people can be rated by hours worked that decade, charitable contribution, driving offences. in politics the most important thing is to stop career politics and mix politicians with ordinary workers, and to stop secrecy in all fields, secrecy in commerce, war, money, banks, lawmaking, secrets are the big challenge of governments, especially secret lobbying, influence, and secret influenced lawmaking. Also, politicians should be tested with current affairs questions like oral exam students on TV on a veranda for selection, for their knowledge, and not made to argue publicly for assesment as the only exam, and not hyped up by superparties that select the richest with pacts and syndicates.

bandybabboon
  • 1,128
  • 6
  • 11
  • 1
    I think only your first two sentences are giving an issue, as asked. The rest goes on to comment on the plan in unrelated ways not asked. – JDługosz Jun 10 '17 at 08:27
3

I think the most crucial problem you'd encounter is that in a world with the characteristics of our current one, a person of average IQ is likely to try to settle issues with violence.

A study at Stanford about 20 years ago showed an inverse correlation between intelligence, and the desire to be in management. (Sorry I don't have references; I don't remember where I saw the study, and don't remember enough about it to google it.) The impact of this is that our leaders have a below-average intelligence, and every organization that has open membership is rapidly devolved by incompetent, power-hungry leaders with no ability to comprehend the organization's original mission. Corporations rapidly become consumed by greed, political institutions are overwhelmed by power plays, and religions...well.

Thus, in order to implement such a plan, you'd need a group of forceful rebels, or a huge media campaign...and you must consider that the media as it stands now, is effectively corrupted by what pays the bills. Alternatively--and probably the only viable solution--you could create your own society in isolation: Under the ice in Antarctica, in outer space, perhaps under the sea or underground. In any case, you'd have to HIDE this society from the mainstream, or it will be attacked on multiple fronts. Most likely, if it wasn't nuked, it would be overwhelmed from within by stupid people, planted there by clever organizations who take advantage of your desire to be helpful.

It is a challenge that it takes a long time to express an intelligent thought, and a sad fact that few people have the patience to hear you out. You would need "stupid" people to run your military, if you did not escape current society, and that would be a HUGE weak spot.

Of course, I have more thoughts on this :) but I think that's enough to chew on for now.

Michael S
  • 31
  • 1
  • 4
    You do not need stupid people (or religion) to run a military. I am an atheist, I spent 12 years in college, received five STEM degrees, including two Masters and a PhD; I have a lifetime 4.0 GPA. I served a standard tour in the Military. Highly intelligent people are not automatically cowards. Unlike the stupid, we can understand why fighting may be a necessity and lives must be spent, even ours. As an atheist I have long accepted my finity, and I regard many outcomes as worth my life, even saving just one of those I love. Death is a coin I may spend, for something precious to me. – Amadeus Jun 10 '17 at 22:06
  • 1
    "every organization that has open membership is rapidly devolved by incompetent, power-hungry leaders with no ability to comprehend the organization's original mission" - "I've learned one thing from being an entrepreneur for 35 years: when there is unguarded money on the table, the wolves arrive. Call these as you like, their goal is to take the cash and blame someone else. They always use the same strategies, which I've documented extensively in my book The Psychopath Code. Divide and conquer. Charm and distraction. Promises and lies. Stealth, and violence."- http://hintjens.com/blog:111 – TessellatingHeckler Jun 13 '17 at 18:04
3

Intelligence is just one of traits (even if we disregard the issues with measuring it correctly). For one, psychopaths and sociopaths may be very intelligent, but you don't want them running the society, do you?

So in ordinary democracy there also other factors besides raw self-interest that decide the outcome, for example empathy, which prevents us from building the efficient society that would gas the disabled and kill you secretly when do you are due to retire.

This is just one of the examples why this is a bad idea. I am sure few more could be easily found.

xmp125a
  • 131
  • 1
2

Intelligent people can be brainwashed and mindcontrolled as easily as the less intelligent. They can also be bribed as easily. If we equate higher intelligence with higher education, they would probably be more indoctrinated and brainwashed by education. In a society of the kind you describe, those who control the educational system would also control the government. The political focus would probably be to suppress alternative world views that threatens the one taught in educational systems.

It is reasonable to assume that higher intelligence equates to higher income. That might lead to conflicts and tensions if those with lower incomes do not see their needs being met. On the other hand, it all depends on the political indoctrination of those with higher IQ:s. Einstein for example was a marxist.

As some people have noted, the voting system would probably need to be more skewed at the benefit of the intelligent ones to have any noticeable effect.

guest
  • 21
  • 1
2

The main issue with this is that IQ is a poor predictor of success in the real world, and provides no measure of motivation, understanding of risk or social skills, andis also in many ways simply a measure of wealth and privilege.

Form the link below, "It has been found that those in the mid to low achievement spectrum of Ivy League schools did not turn out to be world leaders — despite their SAT scores being higher than even the best students at the so-so colleges, who fared better."

http://www.huffingtonpost.co.uk/dan-goleman/iq-doesnt-predict-success_b_5658898.html

crobar
  • 409
  • 2
  • 6
2

Intelligence does not imply political skill or high character. US presidents tend to hover in the IQ range of 110-130, above average, a 'dumb genius'. What most of them have is the knowledge and political skills to get things done, something that pure intelligence doesn't convey.

Remember Spock's remark in The Wrath of Khan: 'He is very intelligent, but his thinking is two dimensional.'

Some of the brightest people I know were my college professors. However, their observations on political affairs were usually in the category of 'hopelessly naive'.

A system that regards some people to be more equal than others can have only one logical outcome.

Revolution.

tj1000
  • 2,903
  • 8
  • 9