6

I've been reading here for a little while, but this is my first question. I am trying to come up with either a concrete set of numbers for a single answer for a binary planet system, or a simple formula that allows me to play within a range of acceptable numbers that answer my question. Math and I don't really get along anymore, so the less complex your solution, the better. Even a solution via simple 3D modeling / illustration on spheres or geometric drawings is welcome if it also provides numbers that fulfill the solution.

ALSO I'd like to keep this within the realm of plausibility, so sources for creating my system are listed after the question. I don't mind if the science pushes the boundaries of what we know. Unusual, rare, unlikely, and unique solutions are welcome; impossible ones are not.

Here are the shadows I'm trying to achieve:

Figure 1: The two possible shadows cast by each planet when all three bodies are in alignment
The possible shadows cast by each planet when all three are in alignment

I'm going to leave my inaccurate drawings above for now because they better illustrate the landmasses and ocean areas on both planets. I'll replace them when I'm able. More accurate yet simpler sketches below along with (hopefully) improved wording.

Requirements:

  1. Binary planets (tidally locked to each other) orbit an M0 parent star at the outermost edge of its habitable zone. (See note1) Neither planet, nor the binary system as a whole, supports a moon.

  2. Both of these planets must be theoretically capable (liquid surface water / atmosphere / pressure / mass / density-wise) of supporting a range of humanoid and other life forms (akin to Tolkien's world, minus mankind as an example), and share biomes.

    They must not be closer to each other than 3 times the radius of Planet B. (See note2)

  3. Planet B must be larger than Planet C and not be wider than 12000 km in diameter (slightly smaller than Earth size); however, I strongly prefer Planet B to be as small as possible within the given constraints.

  4. Planet C must not be smaller than 6000 km in diameter. (See note3)

  5. During A-B-C alignment (Fig 1) Fig 1
    - A being floating in the center of the night side (it's in the middle of the ocean) of Planet B (point b) will see only a circle of darkness blocking the stars (behind Planet C) when looking toward Planet C. (Fig 1a) Planet C should fall well within the umbra cast by Planet B.
    - A being standing at point c will see a total eclipse of Star A by Planet B when looking starward. Only the corona should be visible (Fig 1b)

    Fig 1a and 1b

  6. During A-C-B alignment, (Fig2) Fig 2
    - A being standing in the center of the night side of Planet C (point c) will see Planet B as a thin blue ring – with an apparent width not wider than 1/6 the radius of Planet B – with northern polar ice visible. More temperate landmass may be visible closer to the northern side of the equator.(Fig 2a)
    - A being standing at point b will see an annular eclipse of Star A by Planet C because Planet C is not large enough to eclipse it totally (Fig 2b)Fig 2a and 2b

  7. Rotation period for the two planet system should not be less than 16 hours nor more than 64.

Is this plausibly realistic?

I simultaneously hope this question is not too long and that I've provided enough info. If not, please me know what I can to do improve.


(note1) ~0.5 solar masses.  See Habitable Planets for Man by Stephen Dole (second edition) American Elsevier Pub. Co. - 1970 pg. 81.  “For a special rare class of planets with extremely large or close satellites, there is an extension of the lower permissible primary mass [of the parent star] down to 0.35 solar masses.” photo image of referenced page My star falls well with this range, and the binary planet system fulfills the large/close satellite requirement.

(note2) Can binary terrestrial planets exist? at Phys.org

(note3) Jim2B’s wonderfully detailed answer to Worldbuilding question Smallest possible habitable planet? (also taking density into account)

  • 2
    Welcome to Worldbuilding! You might start with the [tour]. You have a very strong “hard science” as your first post! – JDługosz Jun 18 '17 at 20:51
  • See here. It would be impractical to draw the sun and planets to scale in order to have those angles emerge before your eyes, but you can calculate the angle and use that to draw the real shadow on your planets. Someone could post details on how to do that as an Answer. (I'm leaving it as a comment since it’s not developed into an answer.) – JDługosz Jun 18 '17 at 21:04
  • "not be wider than 6000 km in diameter, (slightly smaller than Earth size)" Note this is half the size of the Earth. The Earth's diameter is 12756 km. "Planet C may eclipse Star A in an annular fashion, however Planet B must eclipse Star A totally" Could you clarify this? A "total eclipse" usually depends on where you're standing on the planet. When you say total, do you mean that planet C must be completely in planet B's shadow? How often? – Schwern Jun 18 '17 at 22:27
  • (1) I invite you to look at Wikipedia’s “Eclipse” page and revise your terminology / nomenclature (and your first drawing) accordingly.  (2) Also, if you could make the second drawing clearer, that would be good.  (For example, it’s not obvious that the lower left side of Figure 2 corresponds to the bottom half of Figure 1 while the lower right side of Figure 2 corresponds to the top half of Figure 1, and it would be nice if you explain what you mean by Bᵣ in the drawing.)  … (Cont’d) – Peregrine Rook Jun 18 '17 at 23:04
  • (Cont’d) …  (3) I suggest that you reverse the order of requirements 5 and 6, to match the order of the alignments shown in the first figure. See also my comment on requirement 2.  (4) It took me a while to understand (I guess) what you mean by “a thin blue ring – not wider than 500 km”. I’m not really sure how to improve the wording of that (except by making it very verbose), but, if you modify Figure 2, can you add an illustration of that? … (Cont’d) – Peregrine Rook Jun 18 '17 at 23:04
  • (Cont’d) …  (5) I can’t find your quote (“For a special rare class of planets with extremely large or close satellites, there is an extension of the lower permissible primary mass [of the parent star] down to 0.35 solar masses.”) in Habitable Planets for Man; can you please double-check it? (Are you looking at the first (1964) edition or the second (2007) edition?  Are you citing a printed page number, or a page number within a PDF copy?) – Peregrine Rook Jun 18 '17 at 23:04
  • 1
    @Schwern the numbers were written in were the radius not the diameter. An error on my part which i just fixed – castinbronze Jun 18 '17 at 23:07
  • Um, what did you just do?  It looks like you simultaneously accepted my edit and rejected it.  If you have a serious objection to my edit, that’s (arguably) your right, although some sort of comment/explanation would be nice.  But you seem to have kept the fruit of my two hours’ work, while depriving me of the two reputation points that I would have received if my edit had been accepted. – Peregrine Rook Jun 18 '17 at 23:21
  • i'nm not sure i understand. all i did was add a sentence and the citation. how did i not accept what you changed? this is literally my first time interacting in a wiki type forum and it was hardly intentional – castinbronze Jun 18 '17 at 23:26
  • you also hit me with quite a lot of questions for which I'm grateful because they're helpful but I am out of my depth on this already so i can't address them quickly or all at once. but way to make me feel welcome with the accusatory tone after i spelled out in the FIRST LINE that this was my first question :/ – castinbronze Jun 18 '17 at 23:30
  • Edited to replace drawings and address issues raised by Schwern and Peregrine Rook above. i think i covered everything. Please let me know if more information is needed. Thanks – castinbronze Jun 19 '17 at 03:04
  • OK, I apologize for the ‘‘accusatory tone’’ — but beware: some people here say many things that sound harsh, especially to newcomers.  Good job on revising the question (although I still can’t find your quote in the PDF of Habitable Planets for Man). – Peregrine Rook Jun 19 '17 at 07:13
  • Understood. Happy to delete that comment as it only refers to your "what did you do?" comment. As a visual artist, I take apparent usage of others' work without credit quite seriously and my apparent rejection/acceptance of your edits was entirely unintentional. Like I said, I found the rest of your commentary quite helpful and I appreciate it.(I can photograph the book page with the quote later today) – castinbronze Jun 19 '17 at 10:21

1 Answers1

3

Is It Possible?

Yes, this arrangement is possible. The rest of the answer is how to figure this stuff out:

Let's talk about angular diameter.

Angular Diameter is how big something looks: small things, but up close to the observer, can look just as large as something very large but very large away. This "apparent size" is called angular diameter. (Also yes, you can call it "apparent size," and "angular diameter," and other names...)

If the angular diameter is the same as something behind it, they will perfectly block each other. The relationship is:

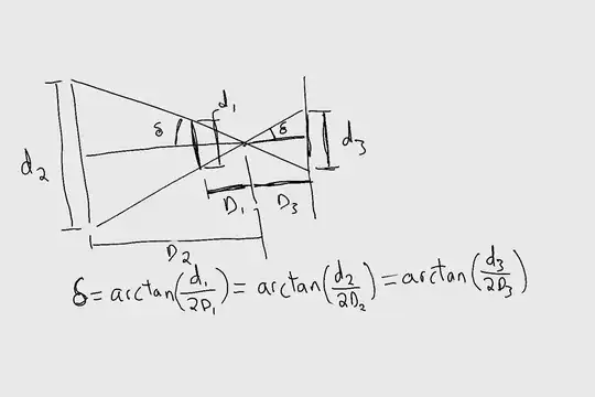
$$\delta = \arctan(\frac{d}{2D})$$ Where d is the diameter of the object in question, and D is the distance from some chosen observation point and the midpoint of the object in question.

Determining Your System

I've made a little diagram showing you your situation:Back-of-Napkin calculations never looked so good.

Remember, the little d's represent the diameter of the bodies in question, and big D's represent the distance between a middle point and the midpoint of the things in question. $d_3$ is the diameter of the shadow.

You should also note that sum $D_1+D_3$ is not (always) the distance between the planets, but the distance between the planet making the shadow and the edge of the shadow on the other planet. Also, this point which everything is measured from is not the point about which the two planets revolve. (That point depends on the mass of both bodies.) Also, it should be noted that $D3$ is really an absolute value- the shadow (d3) could be going the other way, inside the cone.

For case 1, where the big planet overshadows the other one, the smaller planet's radius must be less than $d_3$ and $D_1+D_2$ is (at least) the distance between the two planets.

For case 2, where the small planet puts a shadow on the large one, the distance $D_1+D_2$ is the distance between the small plant's center and the center of the ring formed by edge of the planet's shadow. To make a ring, the larger planet's radius must be larger than $d_3$

Using this information, you can figure out what the diameters and distances of your planets should be.

PipperChip
  • 32,239
  • 2
  • 88
  • 135
  • This is very helpful, and I believe it answers the majority of my question. I should probably just move the parts that it doesn't cover to their own topic. I'm going to try plugging in some numbers to play with, I'm just very slow with math. – castinbronze Jun 19 '17 at 23:09
  • @castinbronze In my opinion, way to really play with this (properly) is to take the tan of these equations, so you get tan(delta) = d1/2D2 = d2/2D2 = d3/2D3. Makes life easier, because I don't think you particularly care how large things look in the sky, but the distances are important. I'm also unsure why you care much about the distances: the fact that it's possible should be enough for most stories/rpgs. – PipperChip Jun 20 '17 at 01:09
  • You're right. Thank you very much for your clear and detailed answer. – castinbronze Jun 20 '17 at 17:00